Официальное опубликование правовых актов
ОФИЦИАЛЬНОЕ ОПУБЛИКОВАНИЕ
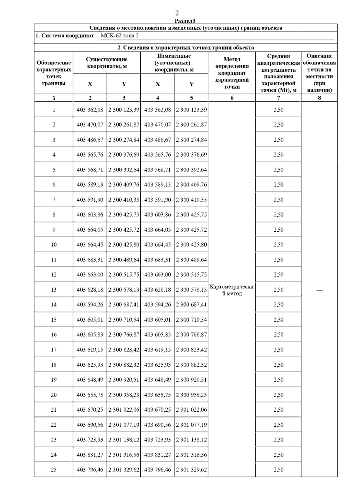
Постановление Главного управления архитектуры и градостроительства Рязанской области от 17.01.2025 № 43-п
"Об утверждении изменений в генеральный план муниципального образования – Сасовский муниципальный округ Рязанской области применительно к территории Кустаревского сельского округа Сасовского района Рязанской области"
(Зарегистрирован 21.01.2025 № 63)
Номер опубликования: 6201202501230004
Дата опубликования: 23.01.2025
Страница №4 из 8:
Увеличить