Официальное опубликование правовых актов
ОФИЦИАЛЬНОЕ ОПУБЛИКОВАНИЕ
Постановление Региональной службы по тарифам Ростовской области от 15.12.2025 № 450
"О внесении изменений в некоторые постановления Региональной службы по тарифам Ростовской области в сфере теплоснабжения"
(Зарегистрирован 15.12.2025 № 450)
Номер опубликования: 6101202512170085
Дата опубликования: 17.12.2025
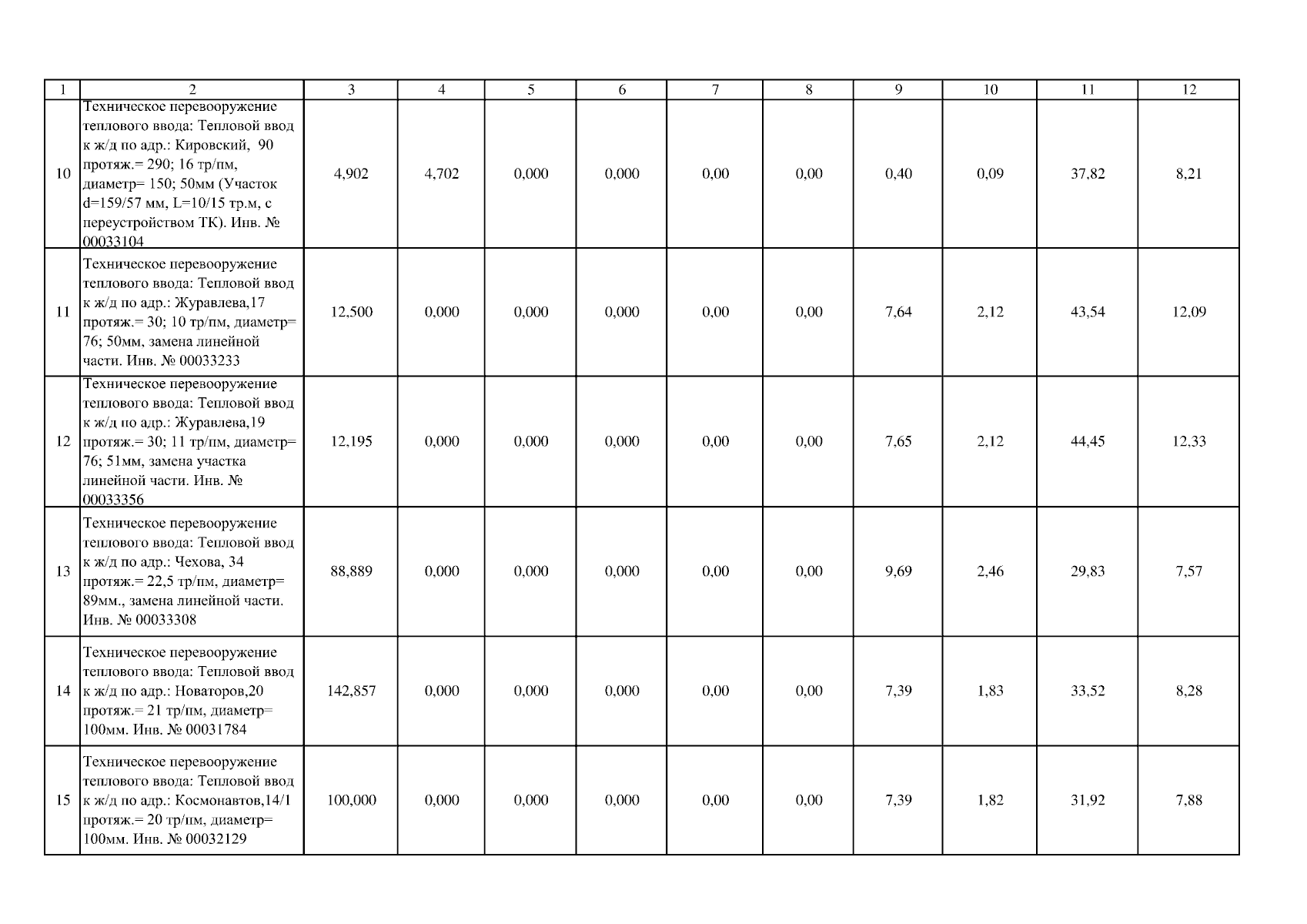
Страница №8 из 13:
Увеличить