Официальное опубликование правовых актов
ОФИЦИАЛЬНОЕ ОПУБЛИКОВАНИЕ
Постановление Комитета по охране объектов культурного наследия Ростовской области от 20.11.2025 № 2601
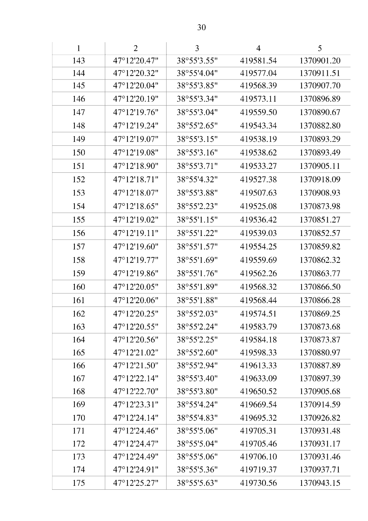
"О включении выявленного объекта культурного наследия "Историческая застройка пер. Красного" в единый государственный реестр объектов культурного наследия (памятников истории и культуры) народов Российской Федерации в качестве объекта культурного наследия регионального значения (достопримечательного места) с наименованием "Историческая застройка пер. Красного", XIX век – начало XX века, Ростовская область, г. Таганрог, пер. Красный, в пределах улиц Фрунзе и Кольцовская, об утверждении предмета охраны и границ территории"
(Зарегистрирован 20.11.2025 № 2601)
Номер опубликования: 6101202511240006
Дата опубликования: 24.11.2025
Страница №30 из 42:
Увеличить