Официальное опубликование правовых актов
ОФИЦИАЛЬНОЕ ОПУБЛИКОВАНИЕ
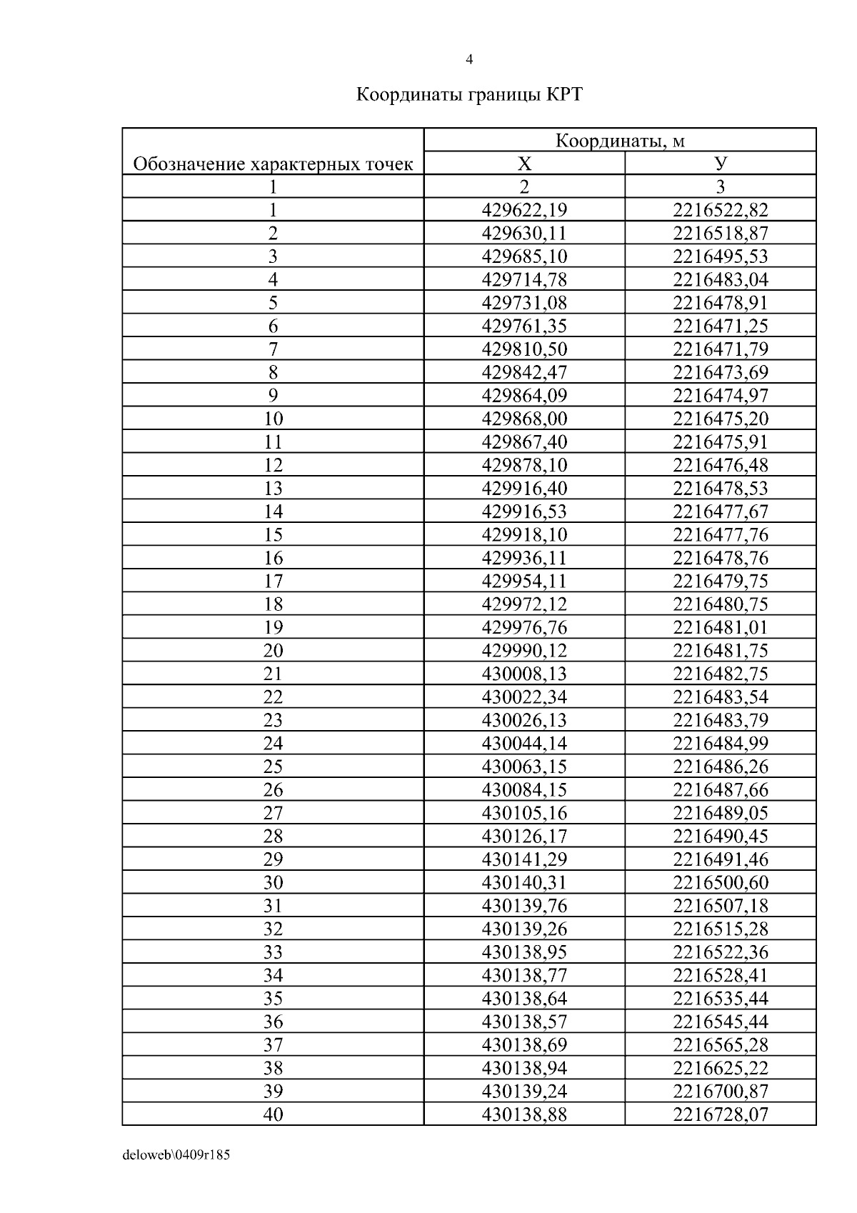
Распоряжение Правительства Ростовской области от 09.04.2026 № 185
"О заключении договора о комплексном развитии территории, расположенной в северо-восточной части муниципального образования "Аксайское городское поселение" Аксайского района Ростовской области"
Номер опубликования: 6100202604100001
Дата опубликования: 10.04.2026
Страница №4 из 6:
Увеличить