Официальное опубликование правовых актов
ОФИЦИАЛЬНОЕ ОПУБЛИКОВАНИЕ
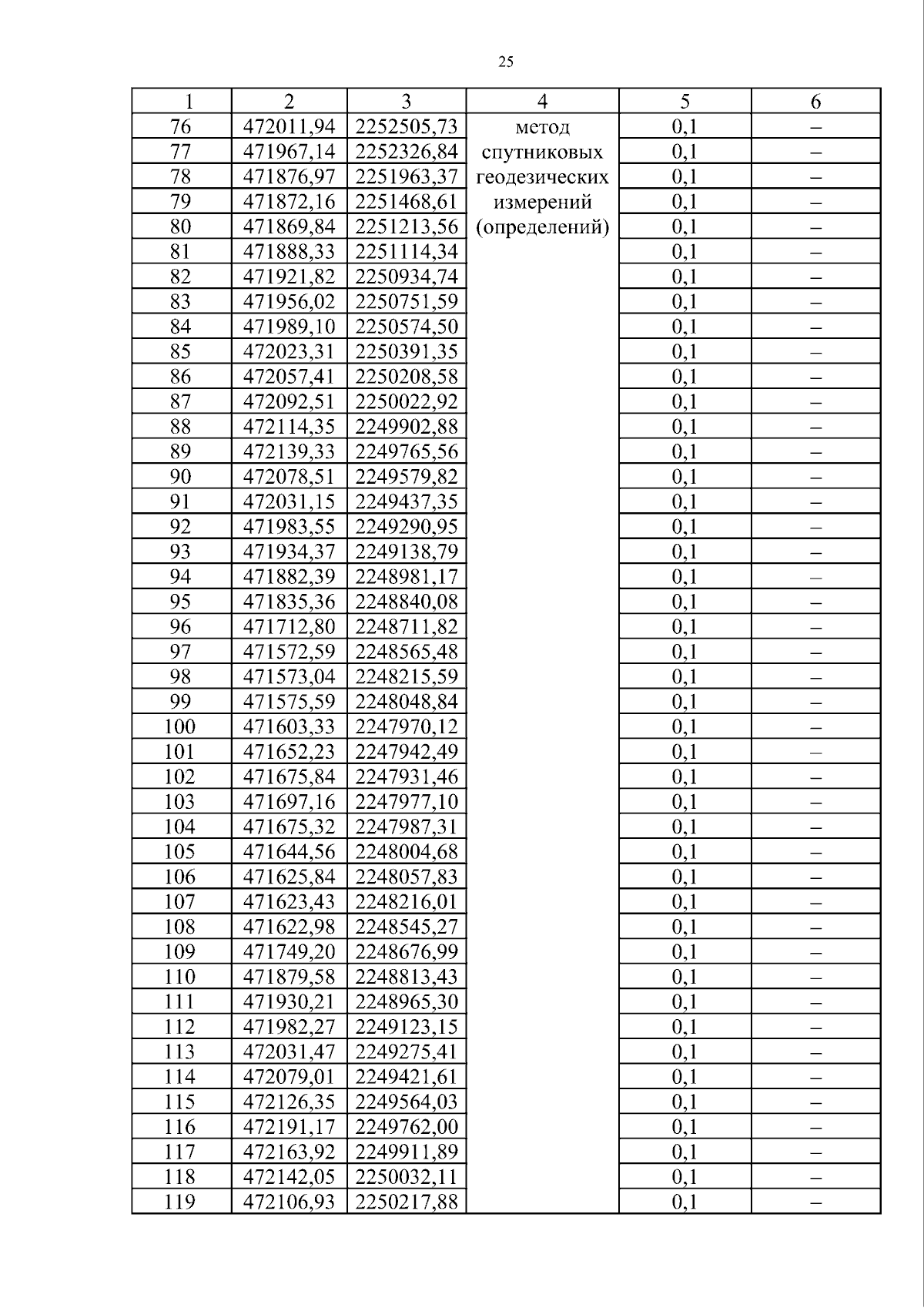
Постановление Правительства Ростовской области от 07.04.2026 № 311
"Об установлении публичного сервитута"
Номер опубликования: 6100202604080019
Дата опубликования: 08.04.2026
Страница №25 из 28:
Увеличить