Официальное опубликование правовых актов
ОФИЦИАЛЬНОЕ ОПУБЛИКОВАНИЕ
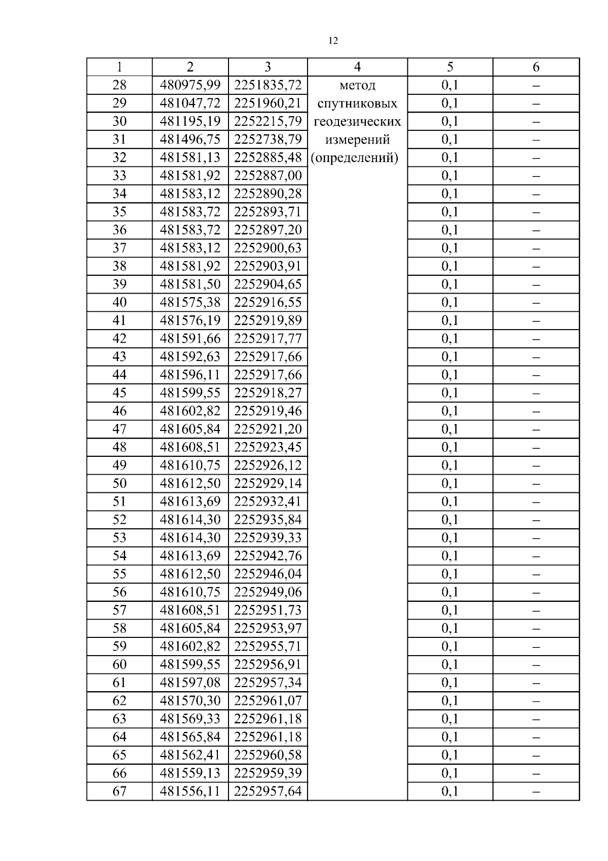
Постановление Правительства Ростовской области от 01.11.2025 № 78
"Об установлении публичного сервитута"
Номер опубликования: 6100202511050013
Дата опубликования: 05.11.2025
Страница №12 из 14:
Увеличить