Официальное опубликование правовых актов
ОФИЦИАЛЬНОЕ ОПУБЛИКОВАНИЕ
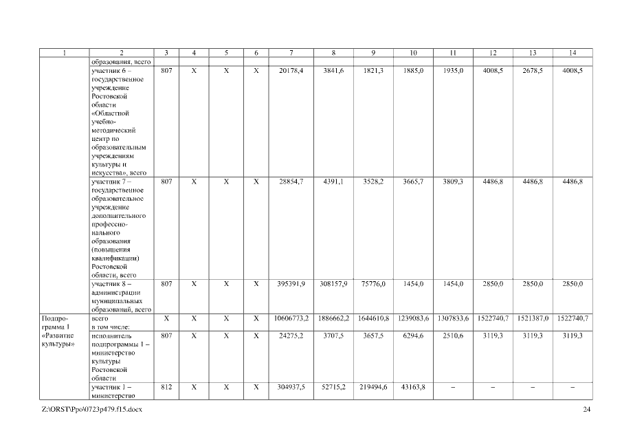
Постановление Правительства Ростовской области от 23.07.2015 № 479
"О внесении изменений в постановление Правительства Ростовской области от 25.09.2013 № 587"
Номер опубликования: 6100201507280001
Дата опубликования: 28.07.2015
Страница №24 из 83:
Увеличить