Официальное опубликование правовых актов
ОФИЦИАЛЬНОЕ ОПУБЛИКОВАНИЕ
Постановление Правительства Пермского края от 13.05.2022 № 394-п
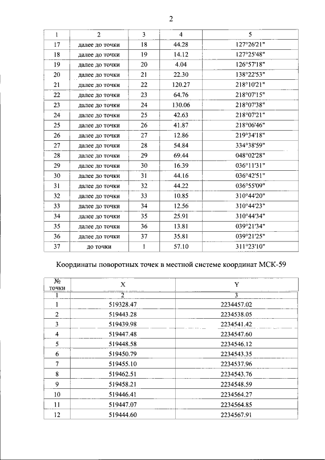
"Об утверждении границ зоны охраны объекта культурного наследия регионального значения – памятника "Дворец культуры им. В.И. Ленина", расположенного по адресу: Пермский край, г. Пермь, ул. Уральская, д. 93, а также режимов использования земель, земельных участков и требований к градостроительным регламентам в границах данной зоны и о внесении изменений в постановление Правительства Пермского края от 24 декабря 2019 г. № 985-п "Об утверждении границ зон охраны объектов культурного наследия регионального значения – достопримечательного места "Соцгородок "Рабочий поселок" (г. Пермь, Мотовилихинский район), "Здание, где в хирургическом отделении Мотовилихинской больницы работал хирург Степанов Н.М." (г. Пермь, ул. Грачева, 12), "Мемориал заводчанам, погибшим в годы Великой Отечественной войны" (г. Пермь, ул. Уральская), "Башня водонапорная" (г. Пермь, ул. Анри Барбюса, 54), "Дворец культуры им. В.И. Ленина" (г. Пермь, ул. Уральская, 93), "Памятник электротехнику Н.Г. Славянову" (г. Пермь, пл. Дружбы), а также режимов использования земель, земельных участков и требований к градостроительным регламентам в границах данных зон"
Номер опубликования: 5900202205170031
Дата опубликования: 17.05.2022
Страница №6 из 33:
Увеличить