Официальное опубликование правовых актов
ОФИЦИАЛЬНОЕ ОПУБЛИКОВАНИЕ
Постановление Правительства Пермского края от 11.12.2020 № 952-п
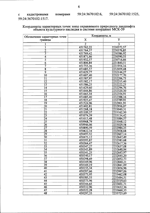
"Об утверждении границ зоны охраны объекта культурного наследия регионального значения – ансамбля "Монастырь Свято-Николаевский (Белогорский)", расположенного по адресу: Пермский край, Кунгурский муниципальный район, д. Белая гора, ул. Монастырская, д. 1, корпус 1, 2, 3, а также режимов использования земель, земельных участков и требований к градостроительным регламентам в границах данной зоны"
Номер опубликования: 5900202012150017
Дата опубликования: 15.12.2020
Страница №8 из 17:
Увеличить