Приказ Министерства градостроительства и архитектуры Пензенской области от 21.11.2025 № 23-819
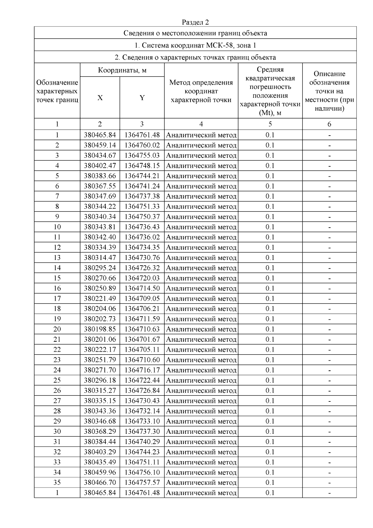
"Об утверждении границ охранной зоны существующего газопровода низкого давления, протяженностью 339 м, расположенного по адресу: Пензенская область, Каменский р-н, г. Каменка, от точки врезки у дома № 16 на ул Юбилейная по ул Юбилейная 4-28, и наложении ограничений (обременений) на входящие в нее земельные участки"
(Зарегистрирован 21.11.2025 № 23-819)
"Об утверждении границ охранной зоны существующего газопровода низкого давления, протяженностью 339 м, расположенного по адресу: Пензенская область, Каменский р-н, г. Каменка, от точки врезки у дома № 16 на ул Юбилейная по ул Юбилейная 4-28, и наложении ограничений (обременений) на входящие в нее земельные участки"
(Зарегистрирован 21.11.2025 № 23-819)
Номер опубликования: 5801202511250007
Дата опубликования:
25.11.2025
