Официальное опубликование правовых актов
ОФИЦИАЛЬНОЕ ОПУБЛИКОВАНИЕ
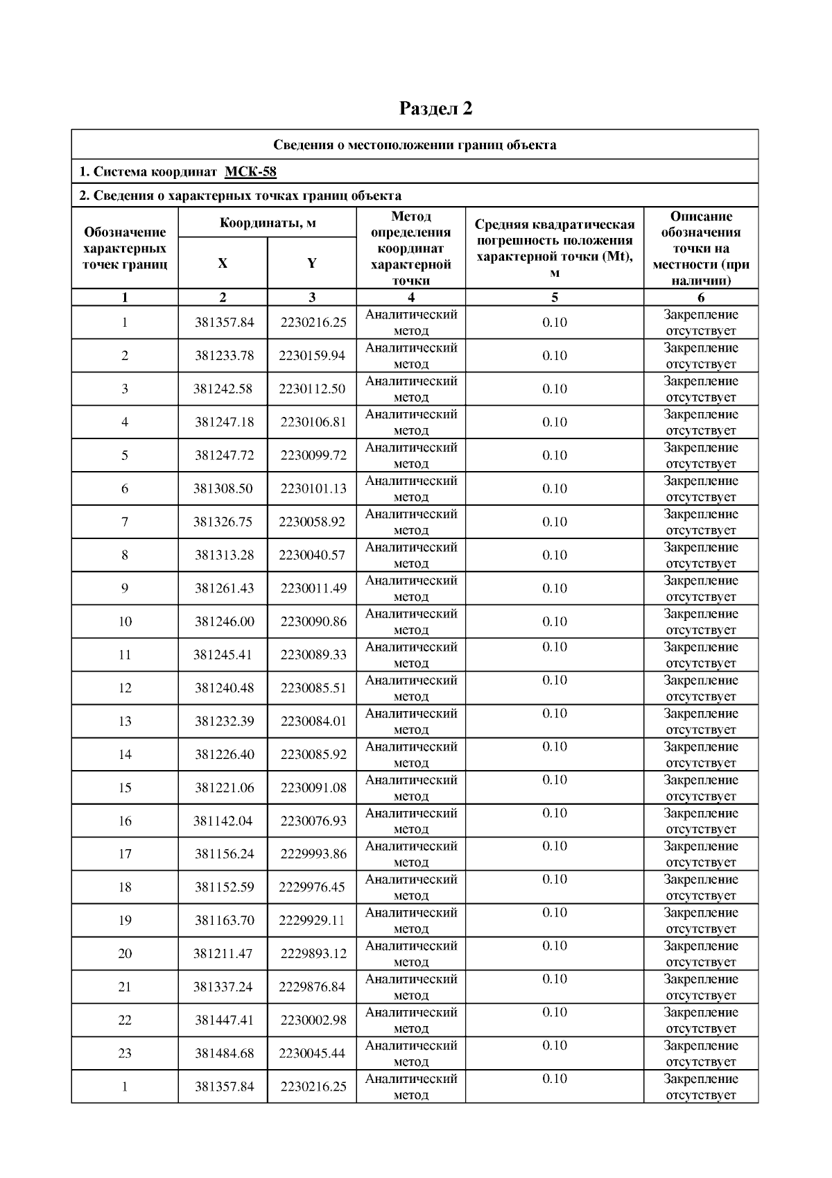
Приказ Министерства по охране памятников истории и культуры Пензенской области от 28.02.2025 № 30-38
"Об установлении зон охраны объекта культурного наследия регионального значения "Обсерватория метеорологическая (деревянная)" (Пензенская область, г. Пенза, ЦПКиО им. В.Г. Белинского) и утверждении требований к градостроительным регламентам в границах территории данных зон"
(Зарегистрирован 28.02.2025 № 30-38)
Номер опубликования: 5801202503030003
Дата опубликования: 03.03.2025
Страница №5 из 13:
Увеличить