Официальное опубликование правовых актов
ОФИЦИАЛЬНОЕ ОПУБЛИКОВАНИЕ
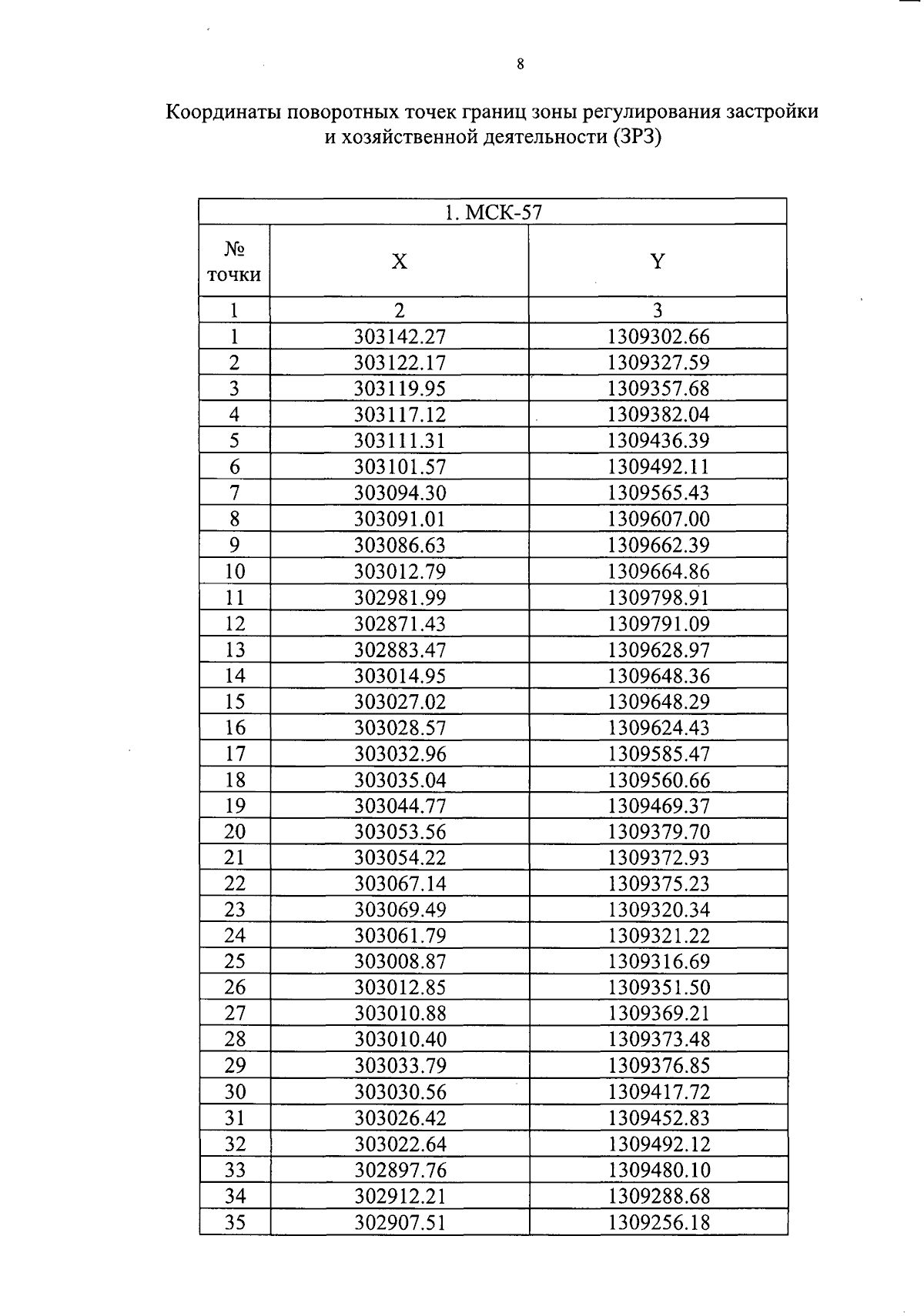
Постановление Правительства Орловской области от 18.02.2025 № 87
"Об установлении зон охраны объекта культурного наследия регионального историко-культурного значения "Комплекс бывшей усадьбы Володемировых", XIX в., расположенного по адресу: Орловская область, Глазуновский район, пос. Техникумовский"
Номер опубликования: 5700202502190002
Дата опубликования: 19.02.2025
Страница №10 из 24:
Увеличить