Официальное опубликование правовых актов
ОФИЦИАЛЬНОЕ ОПУБЛИКОВАНИЕ
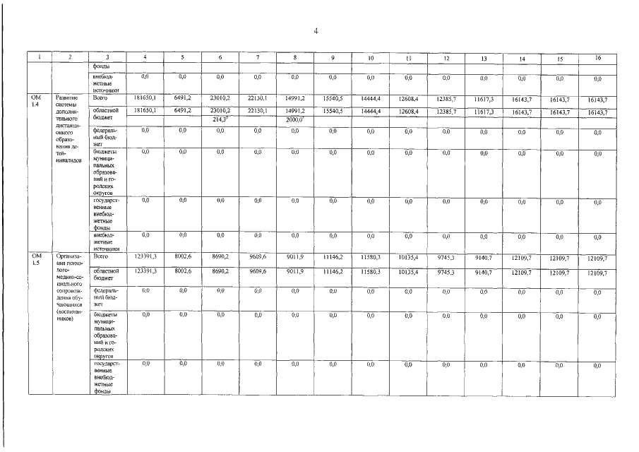
Постановление Правительства Орловской области от 01.02.2019 № 48
"О внесении изменений в постановление Правительства Орловской области от 28 декабря 2012 года № 500 "Об утверждении государственной программы Орловской области "Образование в Орловской области"
Номер опубликования: 5700201902050006
Дата опубликования: 05.02.2019
Страница №216 из 290:
Увеличить