Официальное опубликование правовых актов
ОФИЦИАЛЬНОЕ ОПУБЛИКОВАНИЕ
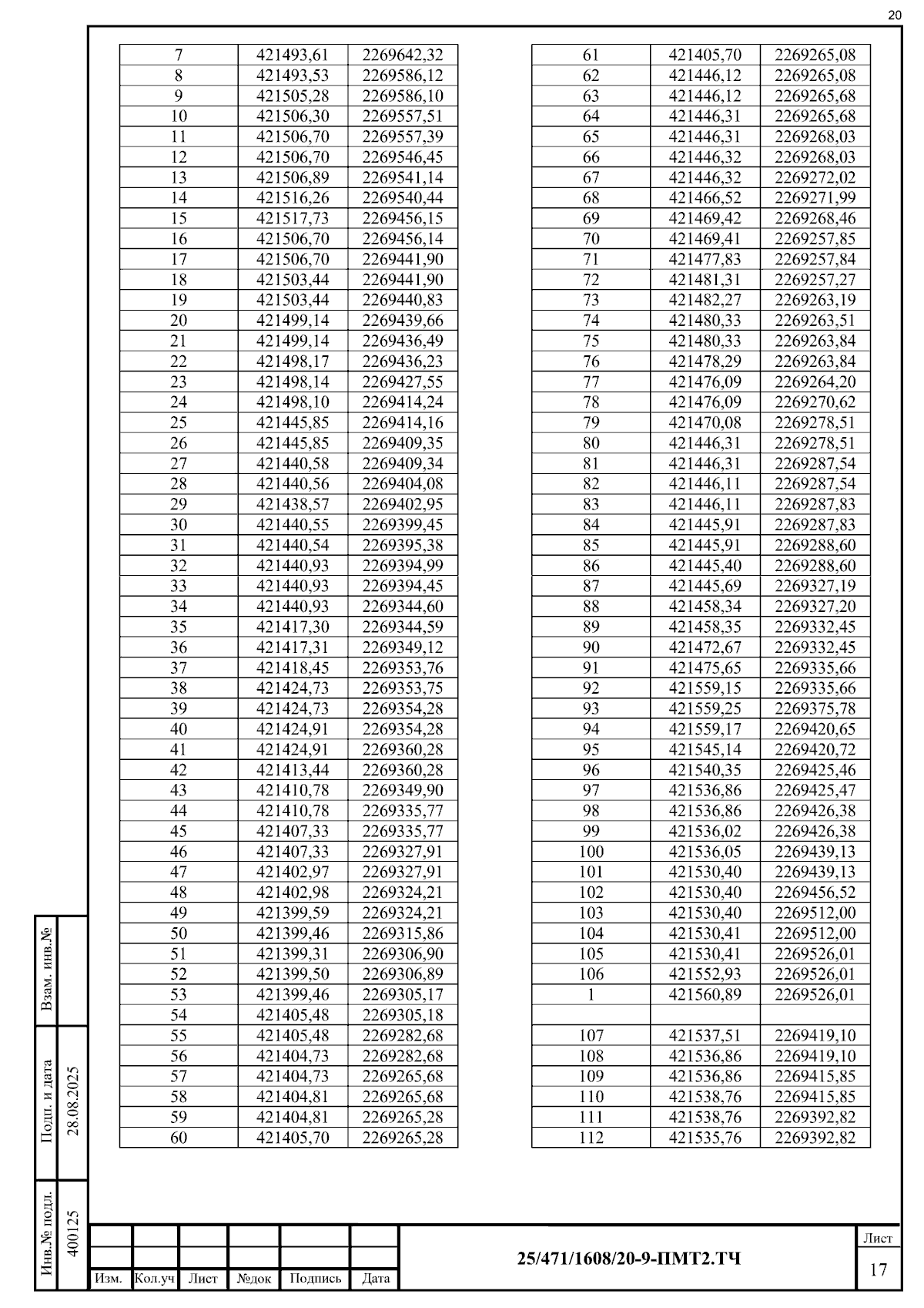
Распоряжение Министерства архитектуры и пространственно-градостроительного развития Оренбургской области от 30.10.2025 № 27-р
"Об утверждении документации по планировке территории "Реконструкция факельных и дренажных систем УКПГ-12 Оренбургского НГКМ" инвестиционного проекта Плана ПИР "Техническое перевооружение и реконструкция объектов добычи газа ОНГКМ"
(Зарегистрирован 30.10.2025 № 0078/2025/02)
Номер опубликования: 5601202511010005
Дата опубликования: 01.11.2025
Страница №60 из 67:
Увеличить