Официальное опубликование правовых актов
ОФИЦИАЛЬНОЕ ОПУБЛИКОВАНИЕ
Распоряжение Министерства архитектуры и пространственно-градостроительного развития Оренбургской области от 30.10.2025 № 28-р
"Об утверждении документации по планировке территории "Реконструкция факельных и дренажных систем УКПГ-9 Оренбургского НГКМ" инвестиционного проекта Плана ПИР "Техническое перевооружение и реконструкция объектов добычи газа ОНГКМ"
(Зарегистрирован 30.10.2025 № 0077/2025/02)
Номер опубликования: 5601202511010001
Дата опубликования: 01.11.2025
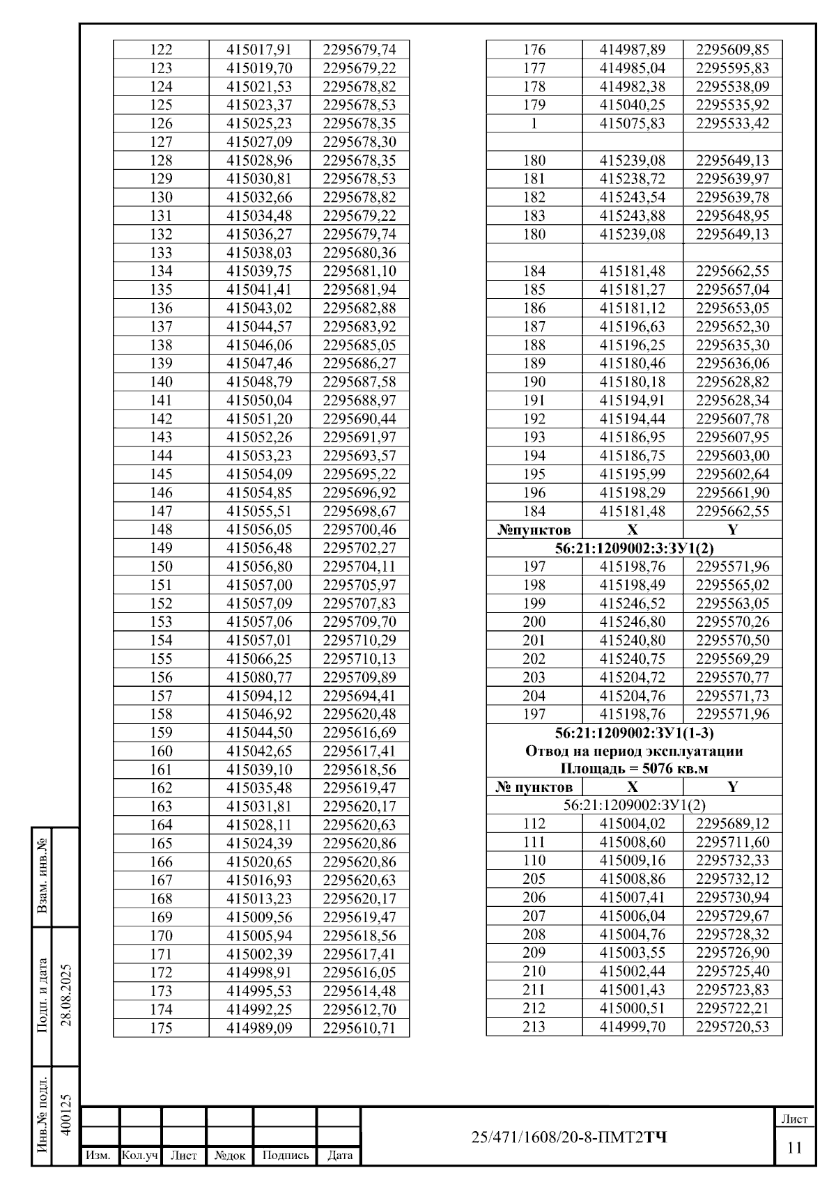
Страница №54 из 62:
Увеличить