Официальное опубликование правовых актов
ОФИЦИАЛЬНОЕ ОПУБЛИКОВАНИЕ
Распоряжение Министерства архитектуры и пространственно-градостроительного развития Оренбургской области от 13.10.2025 № 22-р
"Об утверждении документации по планировке территории "Проект планировки и проект межевания территории улично-дорожной сети по ул. 9 Января, пер. Неплюевский и ул. Каширина в г. Оренбурге"
(Зарегистрирован 14.10.2025 № 0069/2025/02)
Номер опубликования: 5601202510150004
Дата опубликования: 15.10.2025
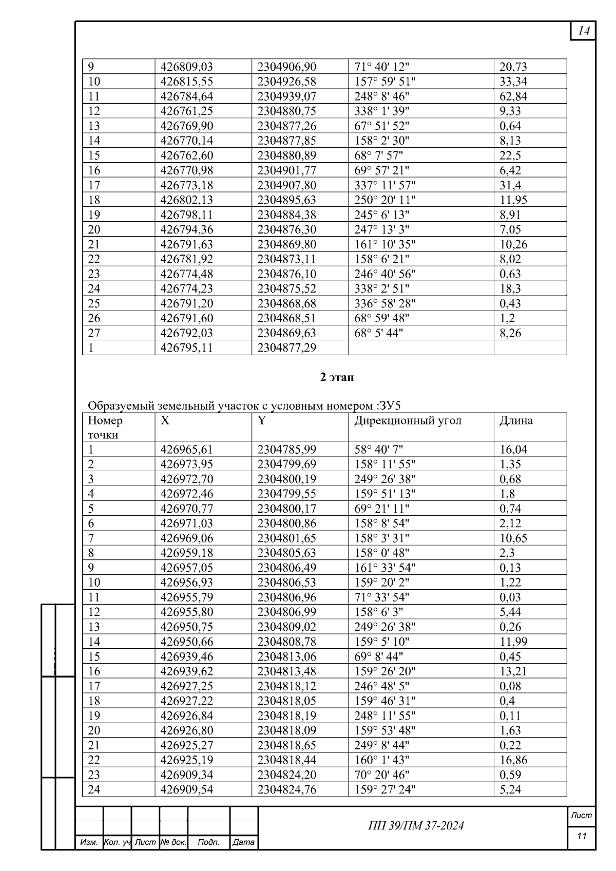
Страница №46 из 55:
Увеличить