Официальное опубликование правовых актов
ОФИЦИАЛЬНОЕ ОПУБЛИКОВАНИЕ
Приказ Инспекции государственной охраны объектов культурного наследия Оренбургской области от 30.07.2025 № 01-33-79
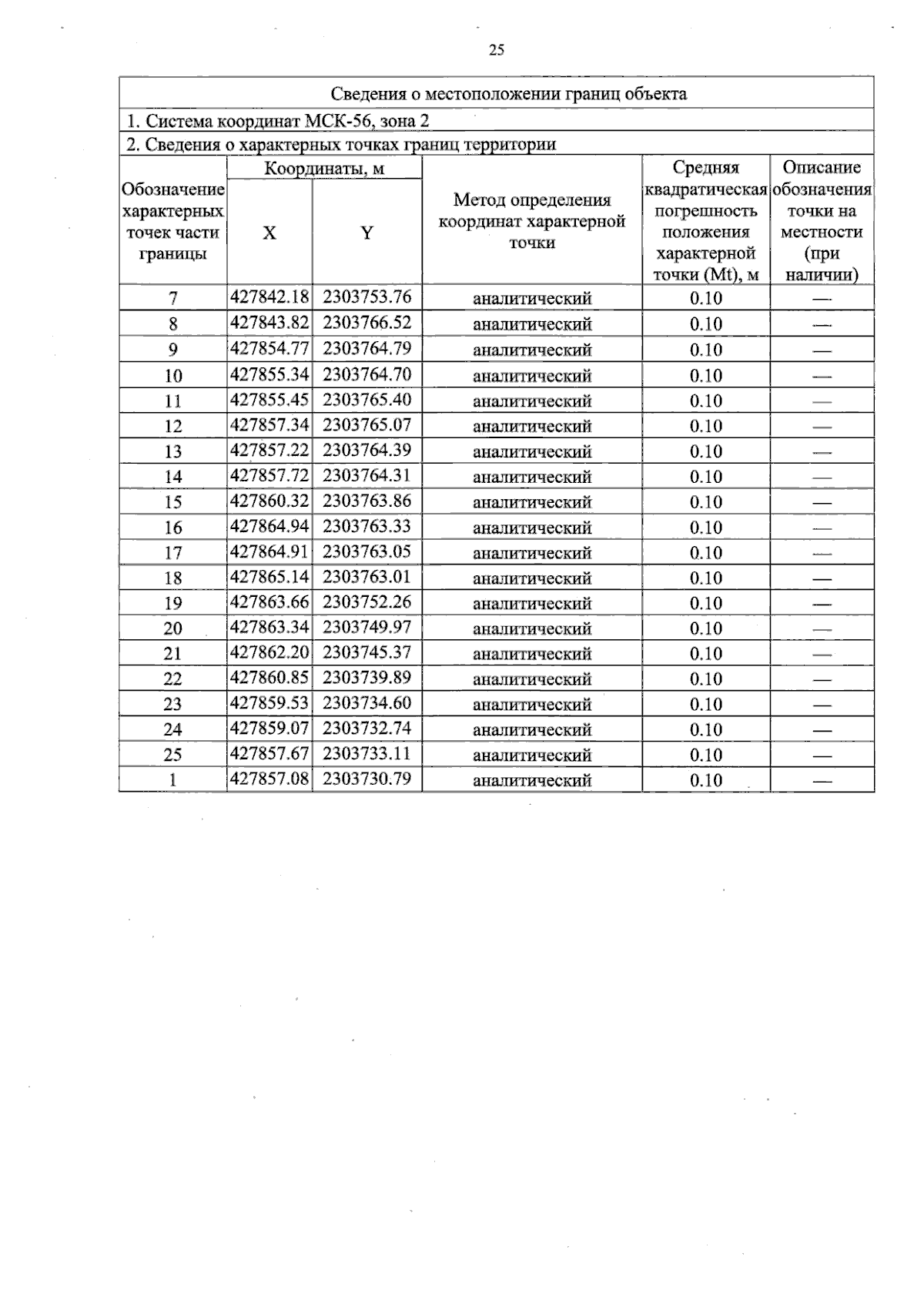
"О включении выявленного объекта культурного наследия в единый государственный реестр объектов культурного наследия (памятников истории и культуры) народов Российской Федерации в качестве объекта культурного наследия регионального значения (вид – ансамбль) "Городская усадьба Е.Т. Цацынкина", 1902-1906 годы (Оренбургская область, город Оренбург, улица Яицкая, дом 69, Литеры АБ), об утверждении предмета охраны, границ и режима использования территории объекта культурного наследия"
(Зарегистрирован 30.07.2025 № 0084/2025/22)
Номер опубликования: 5601202507310005
Дата опубликования: 31.07.2025
Страница №25 из 28:
Увеличить