Официальное опубликование правовых актов
ОФИЦИАЛЬНОЕ ОПУБЛИКОВАНИЕ
Постановление Правительства Новосибирской области от 03.09.2018 № 376-п
"Об утверждении проекта планировки территории для размещения объекта регионального значения автомобильной дороги межмуниципального значения "56 км а/д "Н-3118" – Чаинка – Тюменка" на участке км 16+963 – км 22+963 в границах муниципального образования Яркульский сельсовет Купинского района Новосибирской области и проекта межевания территории в его составе"
Номер опубликования: 5400201809060002
Дата опубликования: 06.09.2018
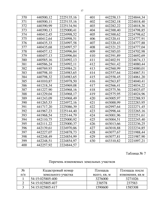
Страница №34 из 35:
Увеличить