Официальное опубликование правовых актов
ОФИЦИАЛЬНОЕ ОПУБЛИКОВАНИЕ
Постановление Правительства Новосибирской области от 09.07.2018 № 295-п
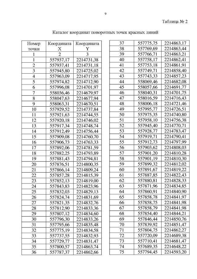
"Об утверждении проекта планировки территории для размещения объекта регионального значения на втором километре автомобильной дороги межмуниципального значения "Подъезд к с. Чистое Озеро /8 км/" в границах муниципального образования Туруновский сельсовет Венгеровского района Новосибирской области и проекта межевания территории в его составе"
Номер опубликования: 5400201807110010
Дата опубликования: 11.07.2018
Страница №13 из 25:
Увеличить