Официальное опубликование правовых актов
ОФИЦИАЛЬНОЕ ОПУБЛИКОВАНИЕ
Постановление Правительства Новосибирской области от 06.02.2018 № 36-п
"О внесении изменений в постановление Правительства Новосибирской области от 23.01.2015 № 22-п"
Номер опубликования: 5400201802080009
Дата опубликования: 08.02.2018
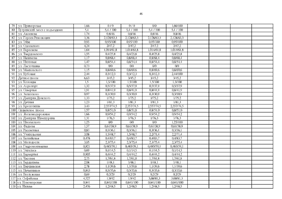
Страница №66 из 116:
Увеличить