Официальное опубликование правовых актов
ОФИЦИАЛЬНОЕ ОПУБЛИКОВАНИЕ
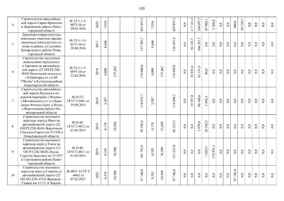
Постановление Правительства Нижегородской области от 24.08.2022 № 666 "О внесении изменений в государственную программу "Развитие транспортной системы Нижегородской области", утвержденную постановлением Правительства Нижегородской области от 30 апреля 2014 г. № 303"
Номер опубликования: 5200202208250003
Дата опубликования: 25.08.2022
Страница №146 из 178:
Увеличить