Официальное опубликование правовых актов
ОФИЦИАЛЬНОЕ ОПУБЛИКОВАНИЕ
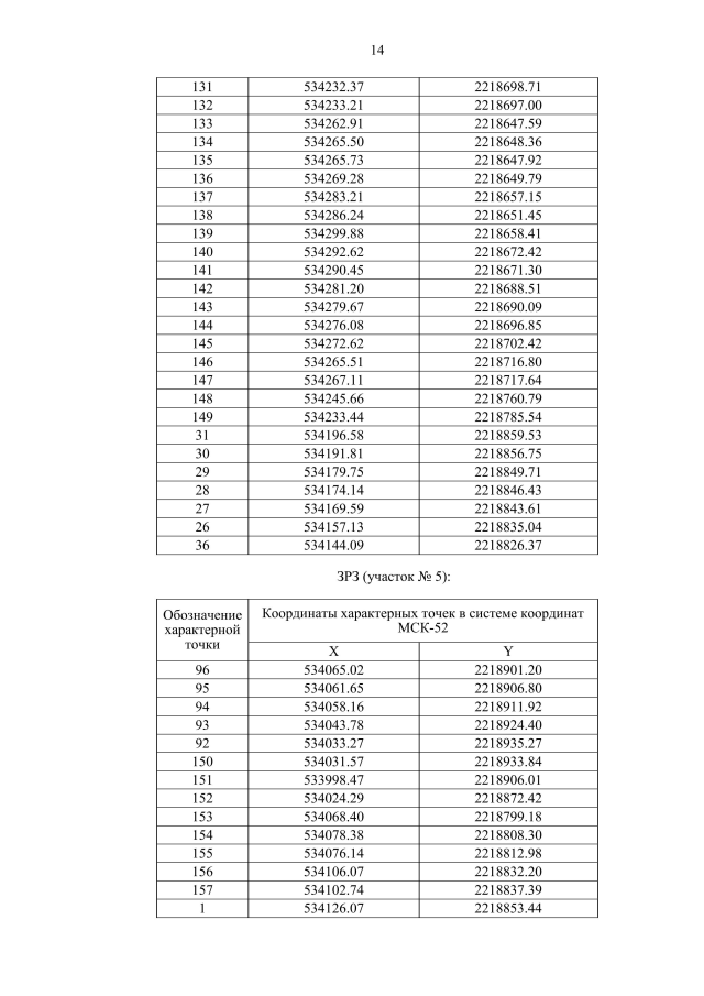
Постановление Правительства Нижегородской области от 19.07.2022 № 557
"Об установлении зон охраны объектов культурного наследия регионального значения, расположенных в г. Бор Нижегородской области, и утверждении требований к градостроительным регламентам в границах территорий данных зон"
Номер опубликования: 5200202207200001
Дата опубликования: 20.07.2022
Страница №16 из 37:
Увеличить