Официальное опубликование правовых актов
ОФИЦИАЛЬНОЕ ОПУБЛИКОВАНИЕ
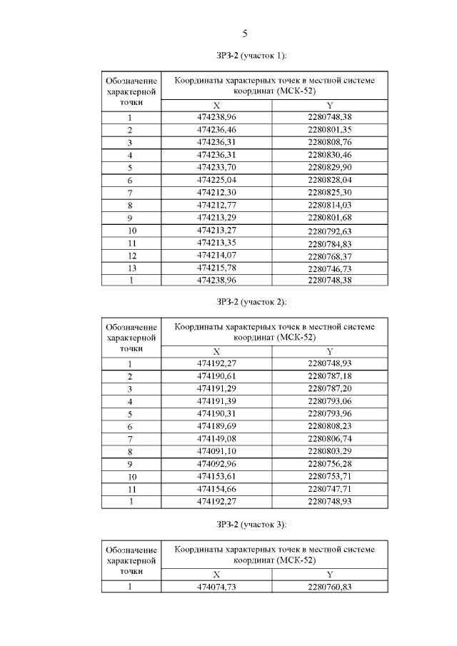
Постановление Правительства Нижегородской области от 07.07.2022 № 516 "Об установлении зон охраны объекта культурного наследия регионального значения "Комплекс зданий винного склада", кон. Х1Х в., включая входящие в состав ансамбля объекты культурного наследия регионального значения "Главный производственный комплекс" (ул. Свободы‚ 7), "Склад" (ул. Свободы, 7), "Склад" (пер. Почтовый‚ 4), "Общежитие для рабочих" (ул. Урицкого‚ 4), расположенные в г. Княгинино Нижегородской области, и утверждении требований к градостроительным регламентам в границах территорий данных зон"
Номер опубликования: 5200202207070010
Дата опубликования: 07.07.2022
Страница №7 из 11:
Увеличить