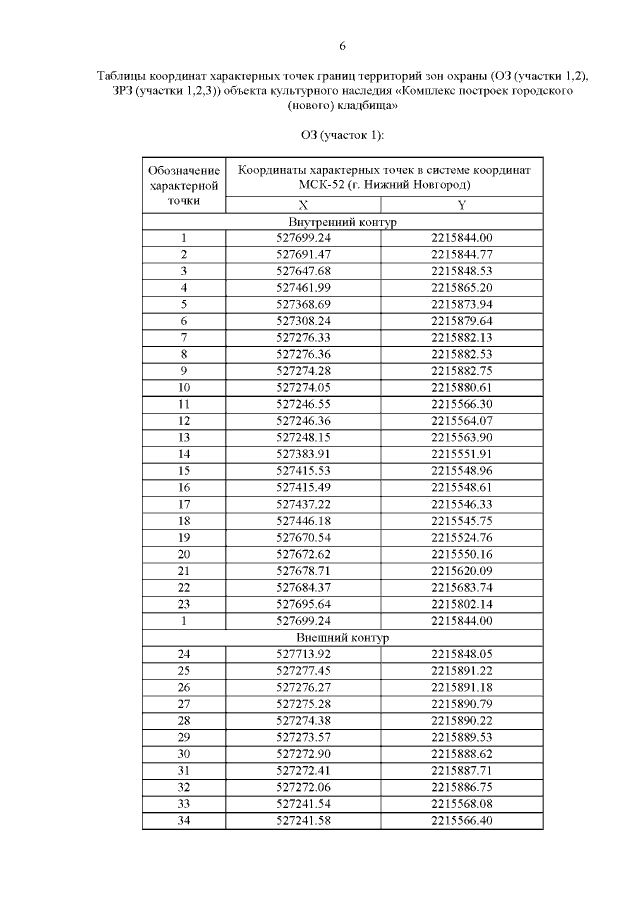
Постановление Правительства Нижегородской области от 21.04.2022 № 284 "Об установлении зон охраны объекта культурного наследия регионального значения "Комплекс построек городского (нового) кладбища" (г. Нижний Новгород, ул. Пушкина, 34 (литеры А, Г1, Г3)) и утверждении требований к градостроительным регламентам в границах территорий данных зон"
Номер опубликования: 5200202204220001
Дата опубликования:
22.04.2022
