Официальное опубликование правовых актов
ОФИЦИАЛЬНОЕ ОПУБЛИКОВАНИЕ
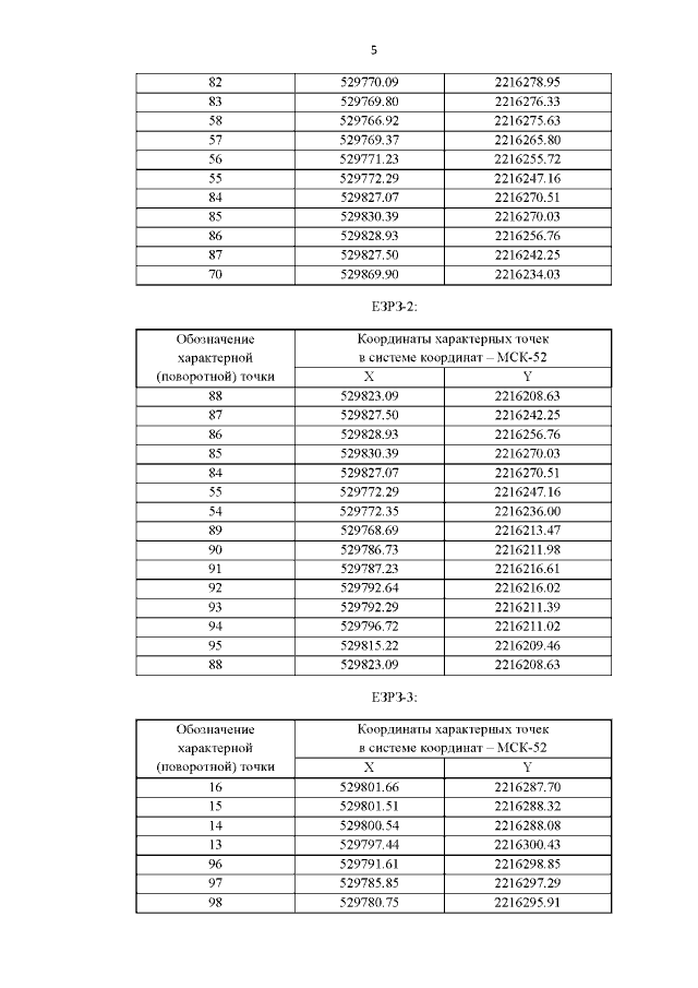
Постановление Правительства Нижегородской области от 08.04.2022 № 251
"Об установлении объединенной зоны охраны объектов культурного наследия, расположенных на улицах Алексеевской, Грузинской в г. Нижнем Новгороде, утверждении требований к градостроительным регламентам в границах территорий данной зоны и внесении изменений в постановление Правительства Нижегородской области от 31 января 2020 г. № 76"
Номер опубликования: 5200202204120008
Дата опубликования: 12.04.2022
Страница №9 из 19:
Увеличить