Официальное опубликование правовых актов
ОФИЦИАЛЬНОЕ ОПУБЛИКОВАНИЕ
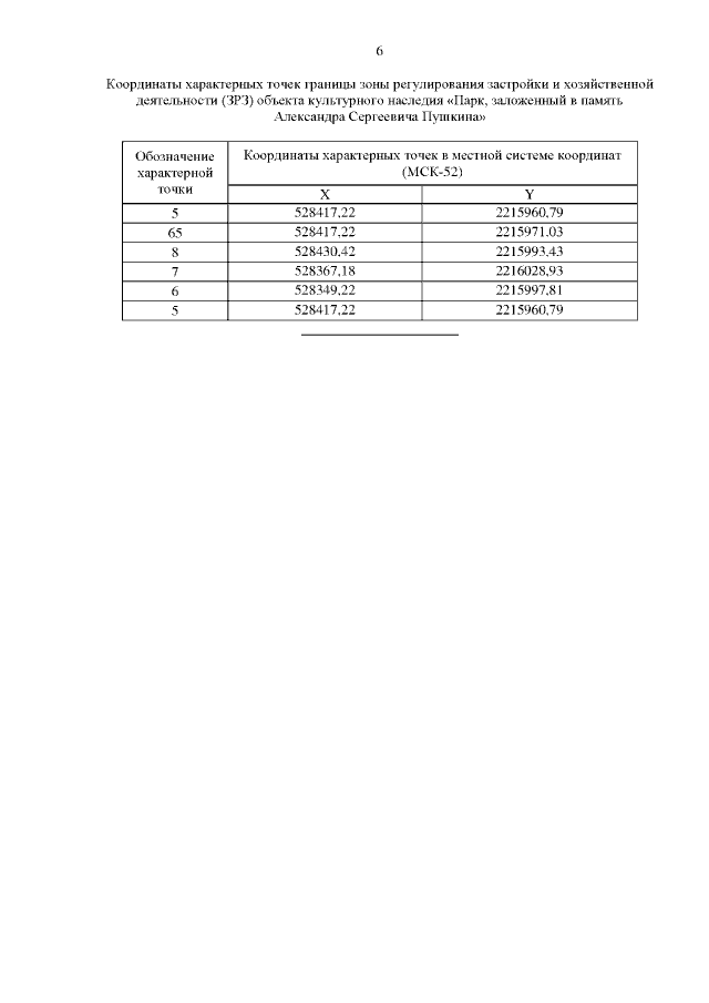
Постановление Правительства Нижегородской области от 28.03.2022 № 209 "Об установлении зон охраны объекта культурного наследия регионального значения "Парк, заложенный в память Александра Сергеевича Пушкина" (г. Нижний Новгород, Советский район, квартал в границах Белинского, Студеная, Тимирязева, Пушкина ул.) и утверждении требований к градостроительным регламентам в границах территорий данных зон"
Номер опубликования: 5200202203290004
Дата опубликования: 29.03.2022
Страница №8 из 14:
Увеличить