Официальное опубликование правовых актов
ОФИЦИАЛЬНОЕ ОПУБЛИКОВАНИЕ
Постановление Правительства Нижегородской области от 03.06.2021 № 463
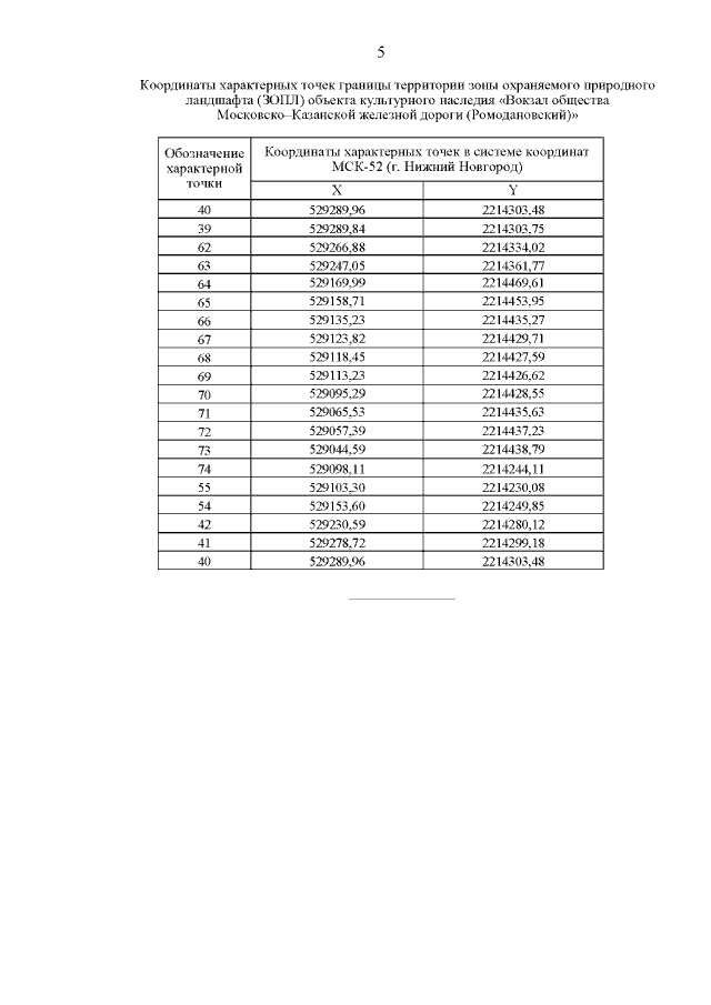
"Об установлении зон охраны объекта культурного наследия регионального значения "Вокзал общества Московско— Казанской железной дороги (Ромодановский)" (г. Нижний Новгород, Казанская пл., 1 (литера А)) и утверждении требований к градостроительным регламентам в границах территорий данных зон"
Номер опубликования: 5200202106040030
Дата опубликования: 04.06.2021
Страница №7 из 14:
Увеличить