Официальное опубликование правовых актов
ОФИЦИАЛЬНОЕ ОПУБЛИКОВАНИЕ
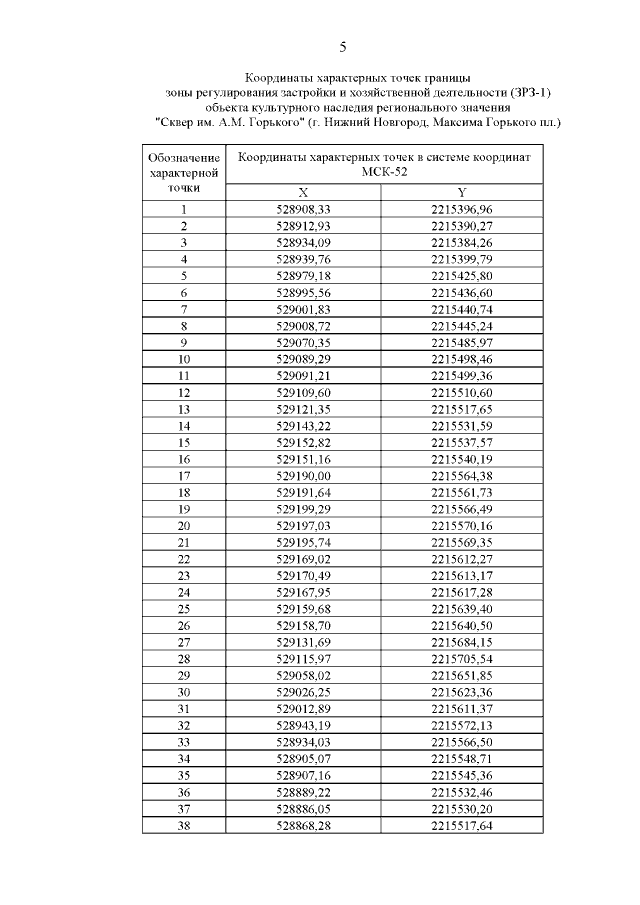
Постановление Правительства Нижегородской области от 10.12.2020 № 1020 "Об установлении зон охраны объектов культурного наследия регионального значения, расположенных на ул. Горького и пл. Максима Горького в г. Нижнем Новгороде и утверждении требований к градостроительным регламентам в границах данных зон"
Номер опубликования: 5200202012110004
Дата опубликования: 11.12.2020
Страница №7 из 17:
Увеличить