Официальное опубликование правовых актов
ОФИЦИАЛЬНОЕ ОПУБЛИКОВАНИЕ
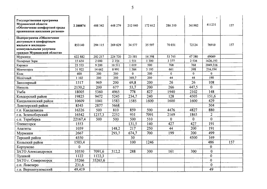
Постановление Правительства Мурманской области от 02.03.2020 № 82-ПП
"О внесении изменений в некоторые постановления Правительства Мурманской области"
Номер опубликования: 5100202003050002
Дата опубликования: 05.03.2020
Страница №6 из 79:
Увеличить