Официальное опубликование правовых актов
ОФИЦИАЛЬНОЕ ОПУБЛИКОВАНИЕ
Постановление Правительства Московской области от 10.11.2025 № 1516-ПП
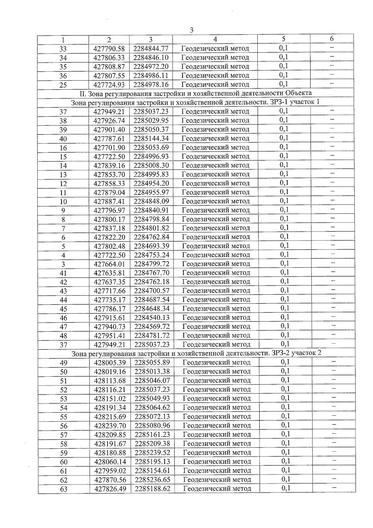
"Об установлении зон охраны объекта культурного наследия регионального значения "Троицкий-Мариинский монастырь: корпус келейный, 1899 г.; богадельня; ограда с воротами и башнями, 1879-1899 гг.; Святые ворота с хозяйственной постройкой, 1879-1899 г.; церковь Святой Троицы, 1880-1883 гг.; игуменский корпус, кон. XIX в.", расположенного по адресу: Московская область, муниципальный округ Егорьевск, город Егорьевск, улица Владимирская, дом 2, и об утверждении требований к градостроительным регламентам в границах территорий данных зон"
Номер опубликования: 5000202511120006
Дата опубликования: 12.11.2025
Страница №11 из 14:
Увеличить