Официальное опубликование правовых актов
ОФИЦИАЛЬНОЕ ОПУБЛИКОВАНИЕ
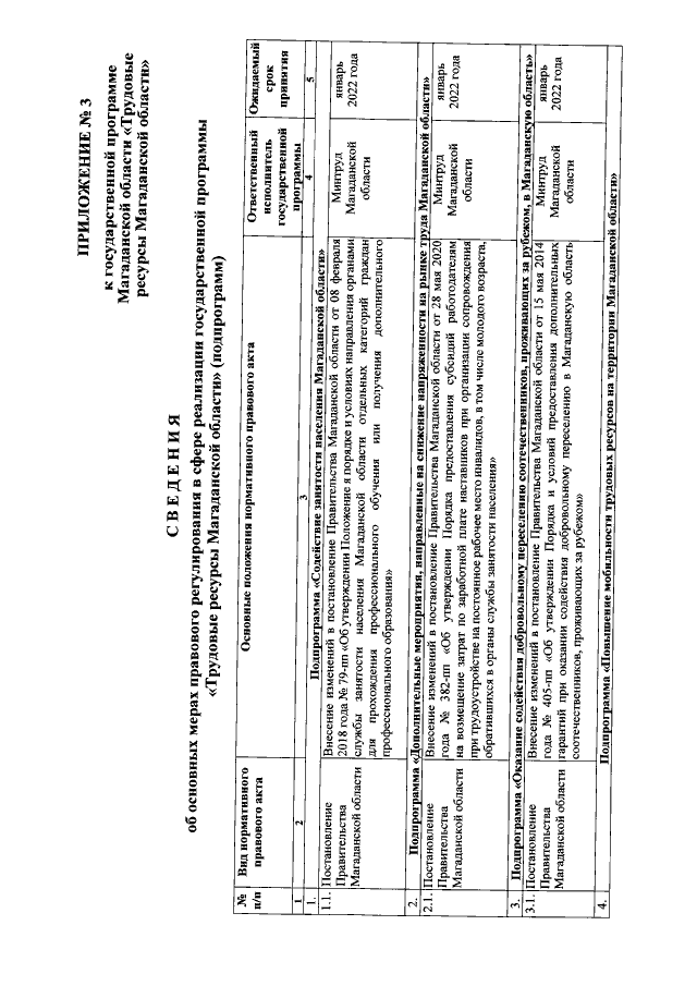
Постановление Правительства Магаданской области от 29.11.2021 № 910-пп
"Об утверждении государственной программы Магаданской области "Трудовые ресурсы Магаданской области"
Номер опубликования: 4900202111300007
Дата опубликования: 30.11.2021
Страница №68 из 93:
Увеличить