Официальное опубликование правовых актов
ОФИЦИАЛЬНОЕ ОПУБЛИКОВАНИЕ
Постановление Правительства Магаданской области от 28.02.2020 № 134-пп
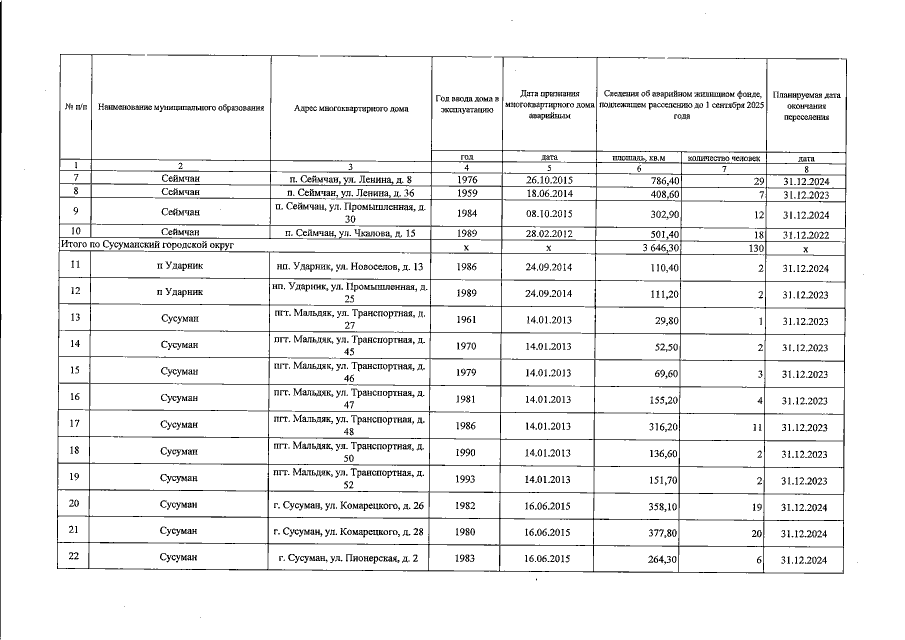
"О внесении изменений в постановление Правительства Магаданской области от 01 апреля 2019 г. № 222-пп "Об утверждении государственной программы Магаданской области "Переселение в 2019-2025 годы граждан из многоквартирных домов, признанных в установленном порядке до 01 января 2017 года аварийными и подлежащими сносу или реконструкции в связи с физическим износом в процессе их эксплуатации, с привлечением средств государственной корпорации – Фонда содействия реформированию жилищно-коммунального хозяйства"
Номер опубликования: 4900202003050011
Дата опубликования: 05.03.2020
Страница №17 из 23:
Увеличить