Официальное опубликование правовых актов
ОФИЦИАЛЬНОЕ ОПУБЛИКОВАНИЕ
Приказ министерства строительства и архитектуры Липецкой области от 22.12.2025 № 526
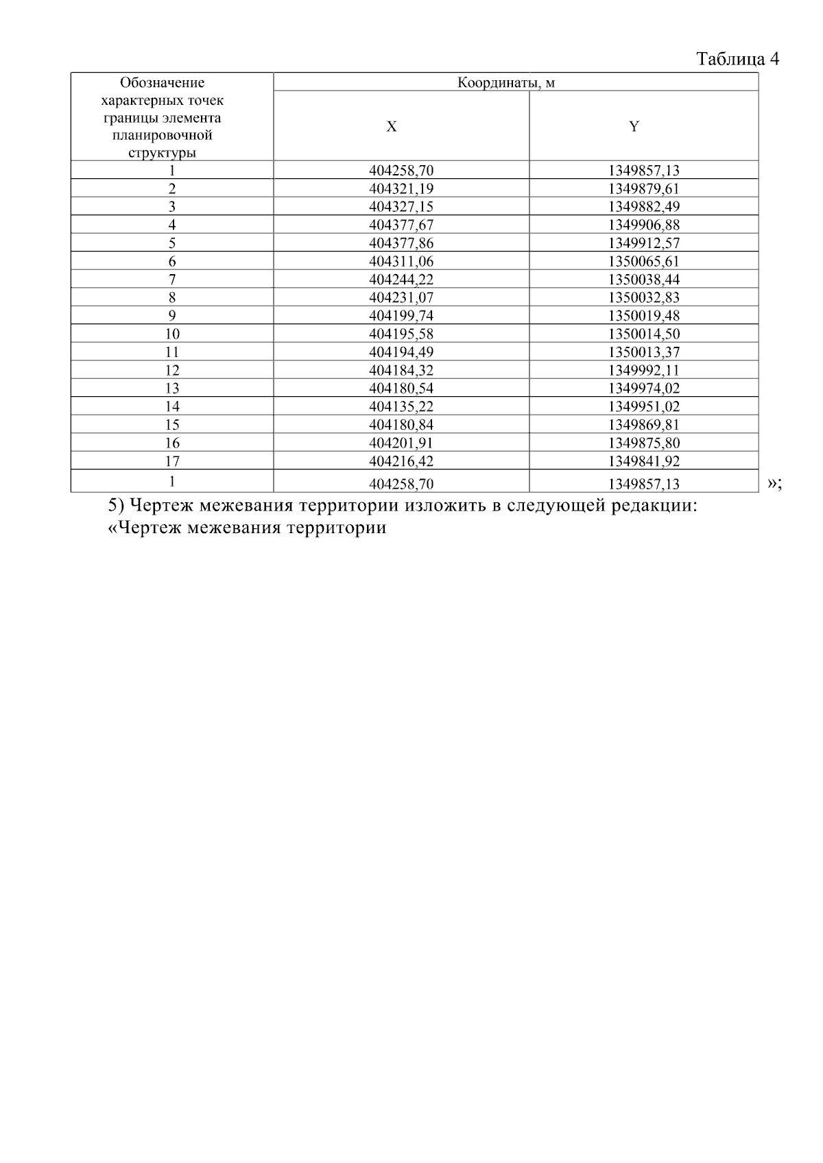
"О внесении изменений в приказ управления строительства и архитектуры Липецкой области от 13.01.2025 № 4 "Об утверждении проекта межевания территории в районе улицы Гагарина в городе Грязи Грязинского муниципального района"
Номер опубликования: 4801202512240003
Дата опубликования: 24.12.2025
Страница №3 из 5:
Увеличить