Официальное опубликование правовых актов
ОФИЦИАЛЬНОЕ ОПУБЛИКОВАНИЕ
Приказ министерства строительства и архитектуры Липецкой области от 16.10.2025 № 449
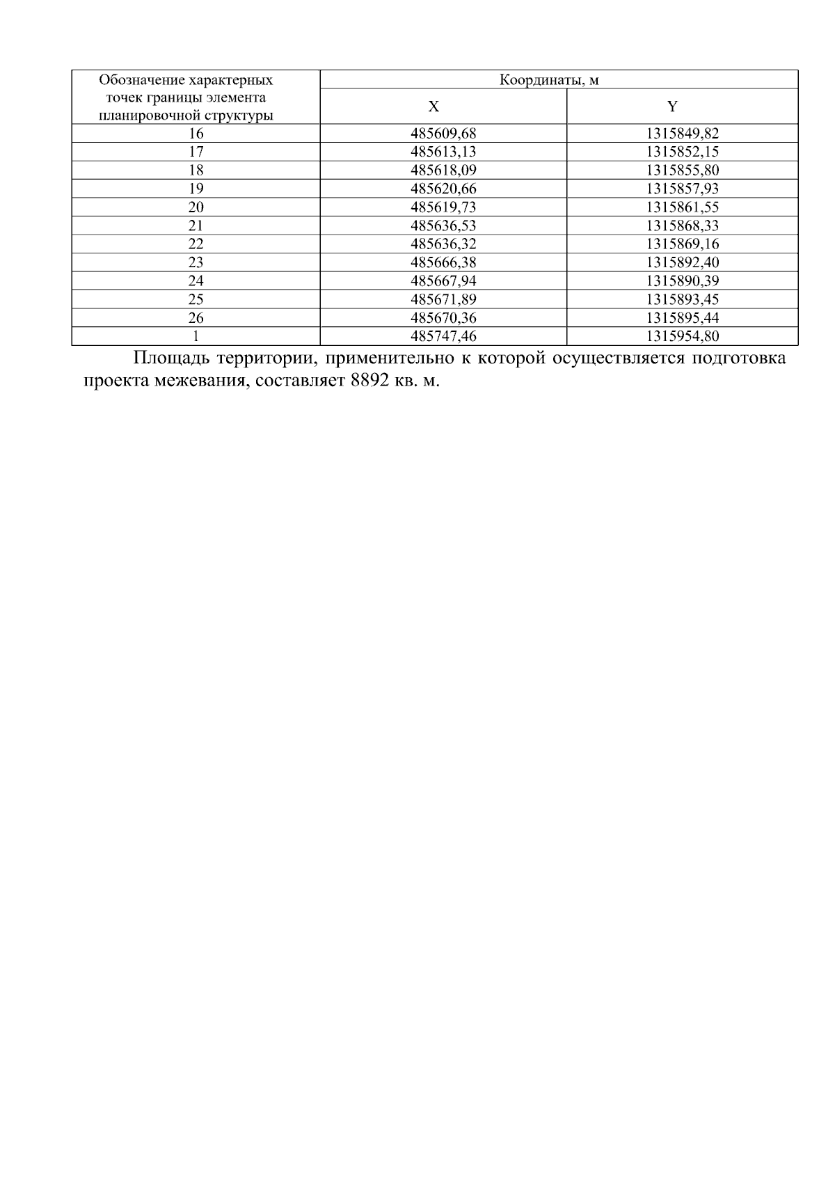
"Об утверждении документации по планировке территории (проект межевания территории в виде отдельного документа) в районе улицы Садовая в поселке Лев Толстой сельского поселения Лев-Толстовский сельсовет ЛевТолстовского муниципального района, в границах кадастрового квартала 48:12:0310905"
Номер опубликования: 4801202510170002
Дата опубликования: 17.10.2025
Страница №7 из 8:
Увеличить