Официальное опубликование правовых актов
ОФИЦИАЛЬНОЕ ОПУБЛИКОВАНИЕ
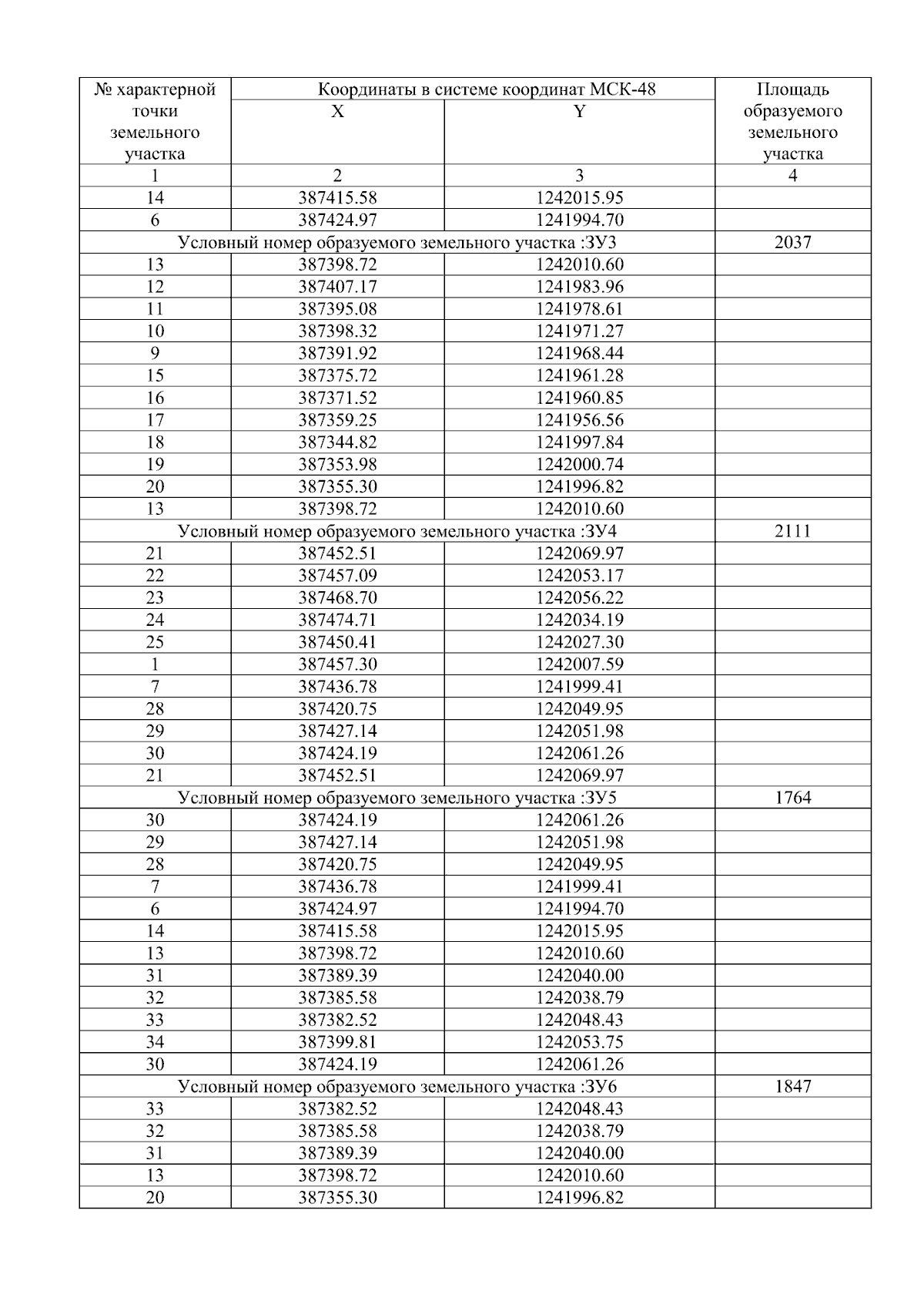
Приказ министерства строительства и архитектуры Липецкой области от 22.09.2025 № 417 "Об утверждении документации по планировке территории (проект планировки территории, проект межевания территории в составе проекта планировки территории) в районе улицы Юбилейная в селе Долгоруково сельского поселения Долгоруковский сельсовет Долгоруковского муниципального района"
Номер опубликования: 4801202509260004
Дата опубликования: 26.09.2025
Страница №35 из 40:
Увеличить