Официальное опубликование правовых актов
ОФИЦИАЛЬНОЕ ОПУБЛИКОВАНИЕ
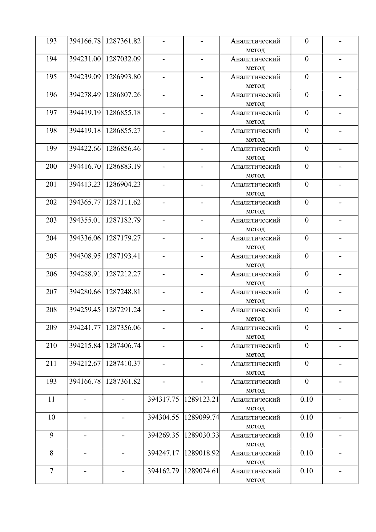
Приказ министерства строительства и архитектуры Липецкой области от 10.09.2025 № 404
"О принятии решения об утверждении генерального плана сельского поселения Камышевский сельсовет Задонского муниципального района Липецкой области"
Номер опубликования: 4801202509120004
Дата опубликования: 12.09.2025
Страница №86 из 95:
Увеличить