Официальное опубликование правовых актов
ОФИЦИАЛЬНОЕ ОПУБЛИКОВАНИЕ
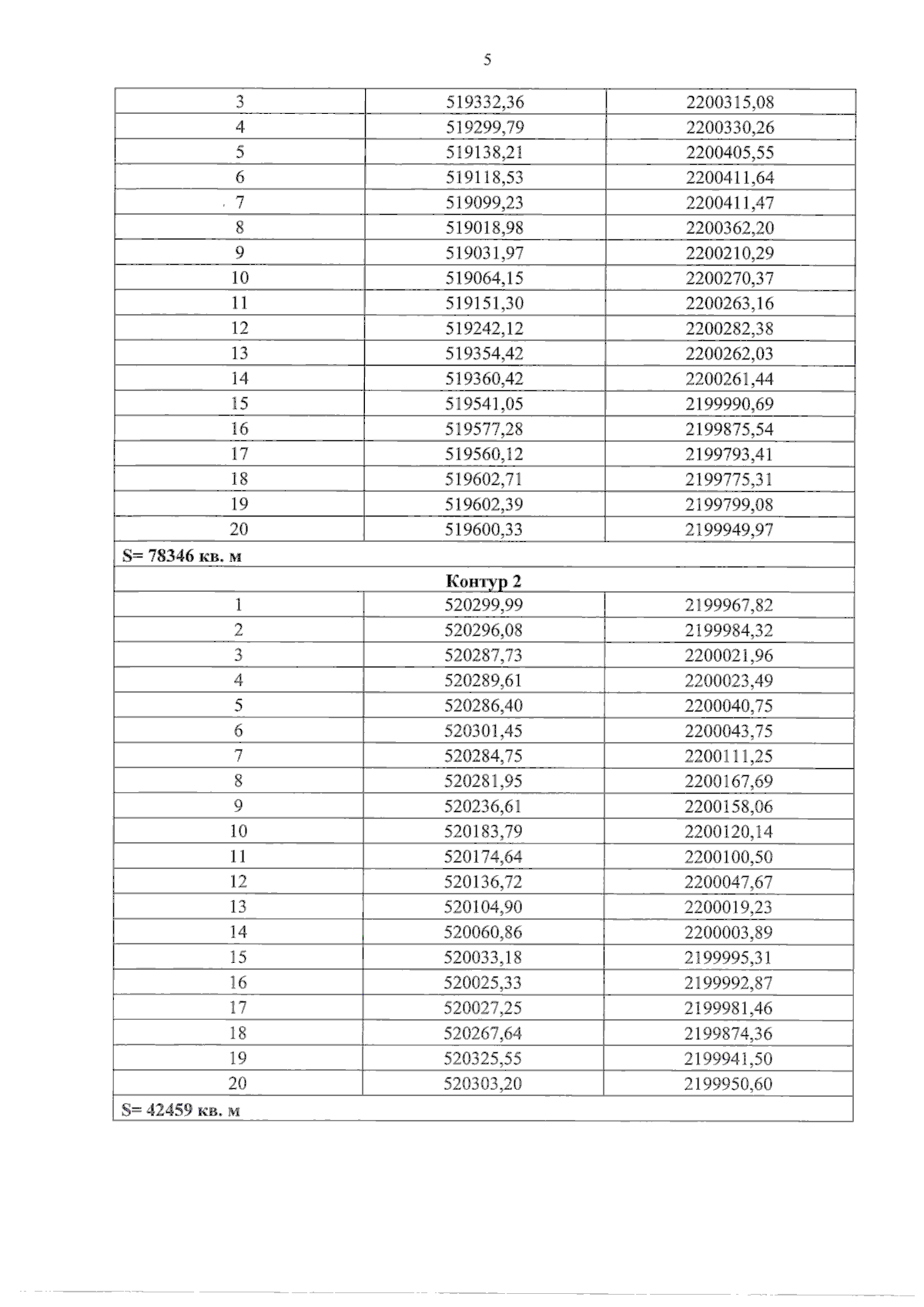
Приказ Комитета градостроительной политики Ленинградской области от 27.09.2024 № 155
"Об утверждении проекта планировки территории и проекта межевания территории в границах земельных участков с кадастровыми номерами 47:03:0706001:908, 47:03:0706001:909, расположенных в Петровском сельском поселении Приозерского муниципального района Ленинградской области"
(Зарегистрирован 27.09.2024 № 01-06-155/2024)
Номер опубликования: 4701202410040004
Дата опубликования: 04.10.2024
Страница №22 из 25:
Увеличить