Официальное опубликование правовых актов
ОФИЦИАЛЬНОЕ ОПУБЛИКОВАНИЕ
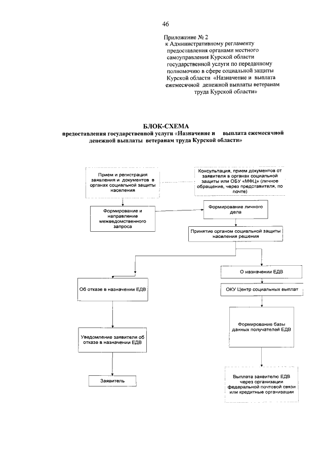
Приказ Комитета социального обеспечения Курской области от 10.09.2018 № 230
"О внесении изменений в административный регламент по предоставлению органами местного самоуправления Курской области государственной услуги по переданному полномочию в сфере социальной защиты населения Курской области "Назначение и выплата ежемесячной денежной выплаты ветеранам труда Курской области"
Номер опубликования: 4601201809120003
Дата опубликования: 12.09.2018
Страница №47 из 54:
Увеличить