Официальное опубликование правовых актов
ОФИЦИАЛЬНОЕ ОПУБЛИКОВАНИЕ
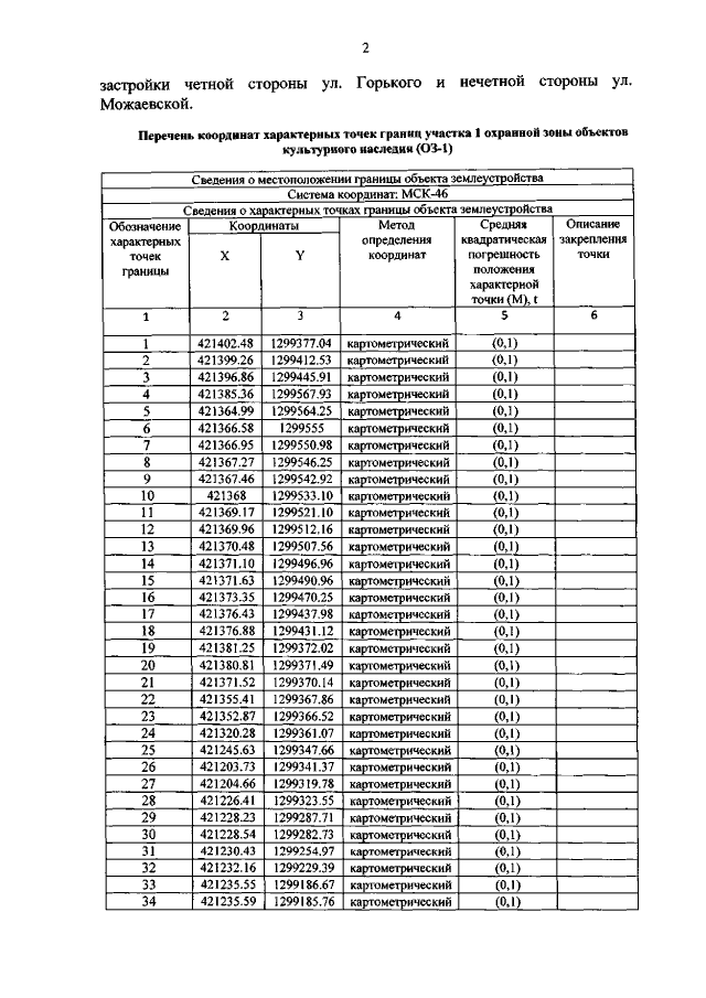
Постановление Администрации Курской области от 17.12.2019 № 1277-па
"Об установлении объединенной зоны охраны объектов культурного наследия в границах муниципального образования "Город Курск" и утверждении требований к градостроительным регламентам в границах территорий данной зоны"
Номер опубликования: 4600201912190002
Дата опубликования: 19.12.2019
Страница №4 из 28:
Увеличить