Официальное опубликование правовых актов
ОФИЦИАЛЬНОЕ ОПУБЛИКОВАНИЕ
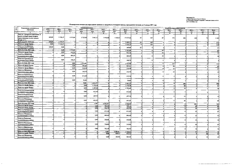
Постановление Администрации Курской области от 19.04.2019 № 348-па "О внесении изменений в адресную программу Курской области по переселению граждан из аварийного жилищного фонда на 2019-2025 (1 сентября) годы, утвержденную постановлением Администрации Курской области от 29.03.2019 № 259-па"
Номер опубликования: 4600201904240001
Дата опубликования: 24.04.2019
Страница №28 из 34:
Увеличить