Официальное опубликование правовых актов
ОФИЦИАЛЬНОЕ ОПУБЛИКОВАНИЕ
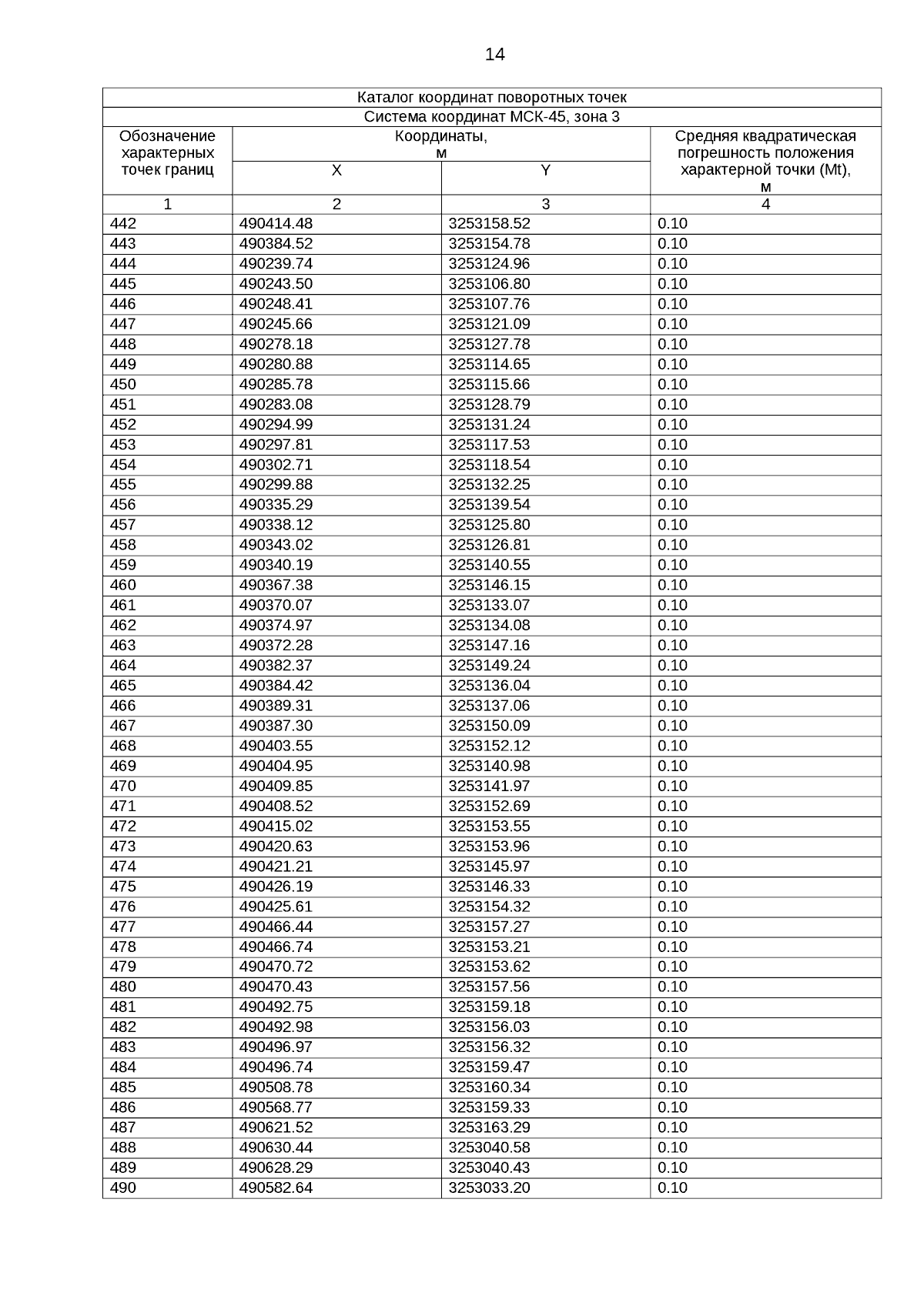
Постановление Департамента имущественных и земельных отношений Курганской области от 18.07.2025 № 51-п
"Об установлении публичного сервитута"
(Зарегистрирован 18.07.2025 № 250510051)
Номер опубликования: 4501202507210003
Дата опубликования: 21.07.2025
Страница №14 из 22:
Увеличить