Официальное опубликование правовых актов
ОФИЦИАЛЬНОЕ ОПУБЛИКОВАНИЕ
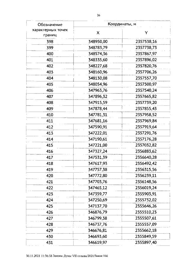
Закон Курганской области от 10.12.2021 № 161
"Об установлении границ муниципального образования Звериноголовского муниципального округа Курганской области"
Номер опубликования: 4500202112140006
Дата опубликования: 14.12.2021
Страница №26 из 41:
Увеличить