Официальное опубликование правовых актов
ОФИЦИАЛЬНОЕ ОПУБЛИКОВАНИЕ
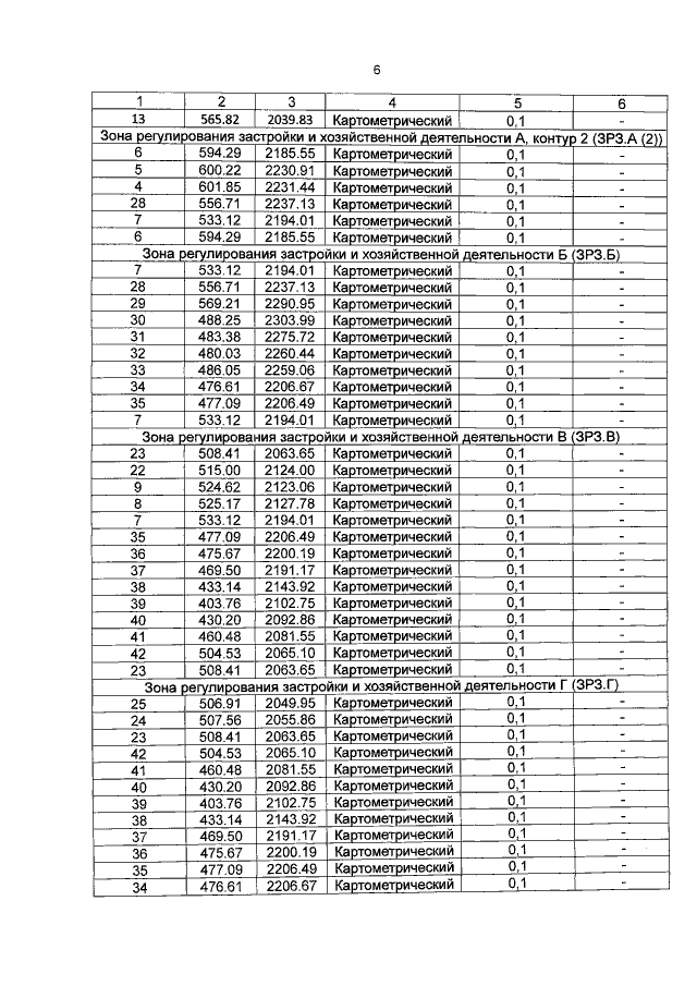
Постановление Правительства Курганской области от 17.08.2021 № 240
"Об утверждении границ зон охраны объекта культурного наследия, особых режимов использования земель и земельных участков, требований к градостроительным регламентам в границах территорий данных зон"
Номер опубликования: 4500202108180001
Дата опубликования: 18.08.2021
Страница №6 из 14:
Увеличить