Официальное опубликование правовых актов
ОФИЦИАЛЬНОЕ ОПУБЛИКОВАНИЕ
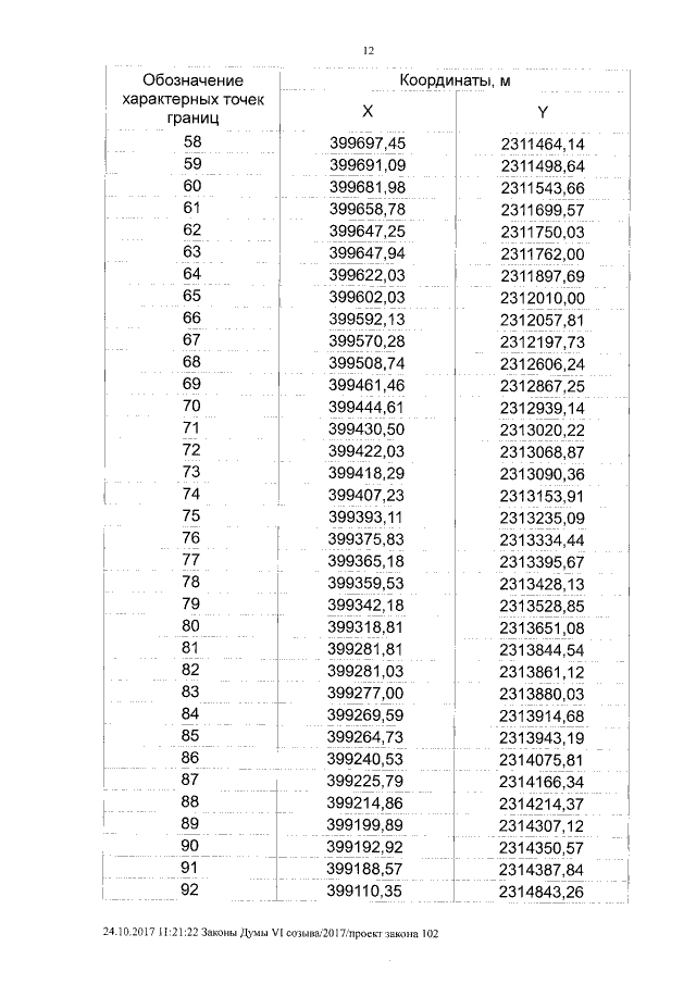
Закон Курганской области от 25.10.2017 № 98
"Об установлении границ муниципального образования Пепелинского сельсовета Куртамышского района Курганской области"
Номер опубликования: 4500201710270014
Дата опубликования: 27.10.2017
Страница №12 из 17:
Увеличить