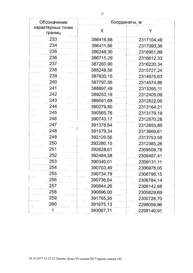
Закон Курганской области от 25.10.2017 № 98
"Об установлении границ муниципального образования Пепелинского сельсовета Куртамышского района Курганской области"
"Об установлении границ муниципального образования Пепелинского сельсовета Куртамышского района Курганской области"
Номер опубликования: 4500201710270014
Дата опубликования:
27.10.2017
