Официальное опубликование правовых актов
ОФИЦИАЛЬНОЕ ОПУБЛИКОВАНИЕ
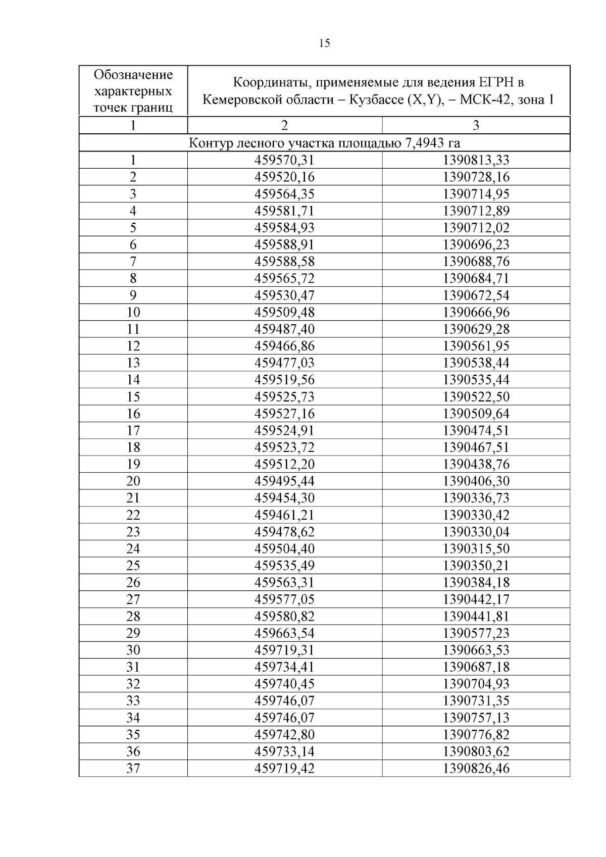
Постановление Правительства Кемеровской области - Кузбасса от 27.01.2025 № 34
"Об изменении площадей и границ земель, на которых расположены леса, указанные в пункте 3 части 1 статьи 114 Лесного кодекса Российской Федерации, Прокопьевского лесничества Кемеровской области — Кузбасса"
Номер опубликования: 4200202501310002
Дата опубликования: 31.01.2025
Страница №15 из 25:
Увеличить