Официальное опубликование правовых актов
ОФИЦИАЛЬНОЕ ОПУБЛИКОВАНИЕ
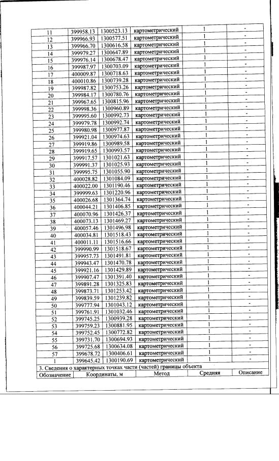
Приказ Министерства природных ресурсов и экологии Калужской области от 23.05.2022 № 407-22
"Об особо охраняемой природной территории регионального значения – памятнике природы "Источники пресных вод у д. Гремячево"
(Зарегистрирован 03.06.2022 № 11901)
Номер опубликования: 4001202206080001
Дата опубликования: 08.06.2022
Страница №4 из 7:
Увеличить