Официальное опубликование правовых актов
ОФИЦИАЛЬНОЕ ОПУБЛИКОВАНИЕ
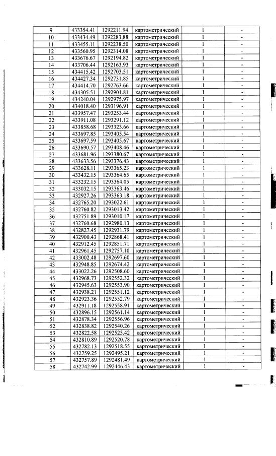
Приказ Министерства природных ресурсов и экологии Калужской области от 20.12.2021 № 1233-21
"Об особо охраняемой природной территории регионального значения – памятнике природы "Минеральный источник "Резванский"
(Зарегистрирован 14.01.2022 № 11506)
Номер опубликования: 4001202201180002
Дата опубликования: 18.01.2022
Страница №4 из 8:
Увеличить