Официальное опубликование правовых актов
ОФИЦИАЛЬНОЕ ОПУБЛИКОВАНИЕ
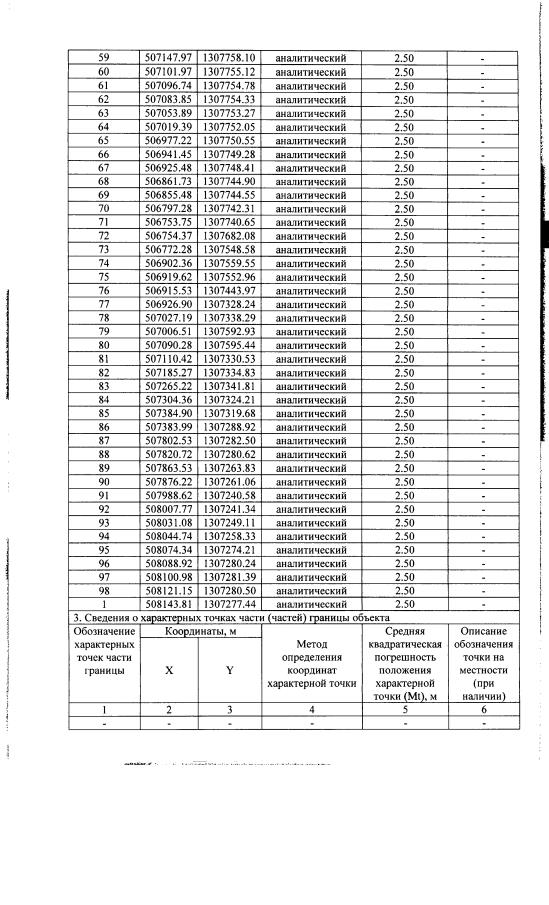
Приказ Министерства природных ресурсов и экологии Калужской области от 08.11.2021 № 1054-21
"Об особо охраняемой природной территории регионального значения – памятнике природы "Парк и сад усадьбы Сатино Боровского района"
(Зарегистрирован 19.11.2021 № 11068)
Номер опубликования: 4001202111230004
Дата опубликования: 23.11.2021
Страница №4 из 8:
Увеличить