Официальное опубликование правовых актов
ОФИЦИАЛЬНОЕ ОПУБЛИКОВАНИЕ
Приказ Министерства природных ресурсов и экологии Иркутской области от 03.10.2025 № 66-44-мпр
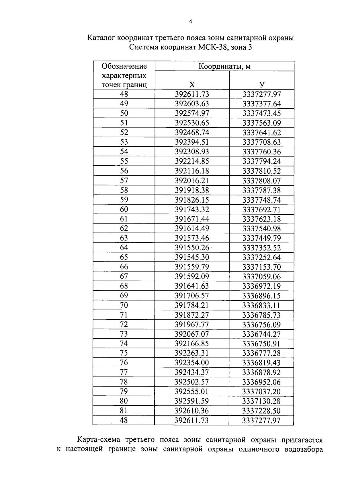
"Об установлении зоны санитарной охраны одиночного водозабора подземных вод (скважина 778) для питьевого и хозяйственно-бытового водоснабжения п. Малая Топка, Иркутского района, Иркутской области, расположенного по адресу: ул. Ключевая (кадастровый номер земельного участка 38:06:111418:13488), устанавливающей границы зоны санитарной охраны подземного источника и ограничения использования земельных участков в границах зон"
(Зарегистрирован 03.10.2025 № 03-1838/25)
Номер опубликования: 3801202510060005
Дата опубликования: 06.10.2025
Страница №5 из 11:
Увеличить